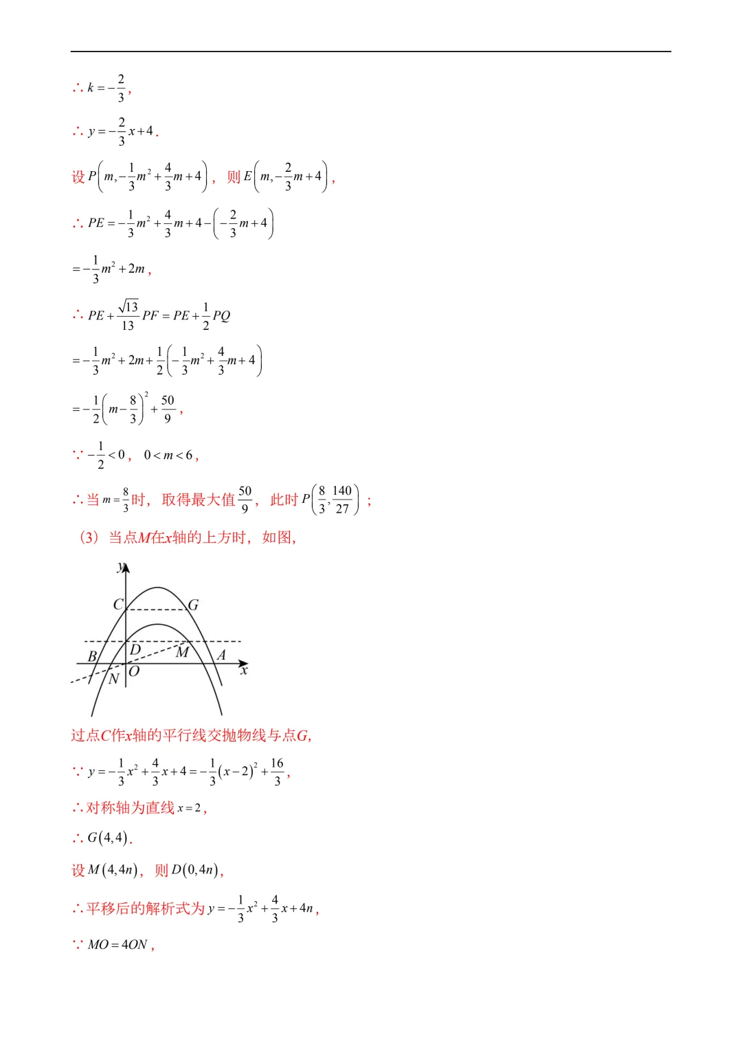
作者寄语:2026年中考第二次模拟考试数学(全国卷)含解析
7天有效领取,手慢无!!!
点赞、关注+回复,再找资料不迷路。
后台私信“0413,即可获得完整文档!

点击上方“初中希望数学俱乐部”,关注我们


































END




关注我
发现更多精彩
初中希望数学俱乐部


文章来源:
四季读书网
版权声明:本文内容由互联网用户自发贡献,该文观点仅代表作者本人。本站仅提供信息存储空间服务,不拥有所有权,不承担相关法律责任。如发现本站有涉嫌抄袭侵权/违法违规的内容, 请发送邮件至23467321@qq.com举报,一经查实,本站将立刻删除;如已特别标注为本站原创文章的,转载时请以链接形式注明文章出处,谢谢!