看到这道2024一模压轴题,突然回忆起那时候很少有同学做出来的。今天再次找到,又做了一遍,分享给大家。并把对这道题的分析如下:



经典分析:
这道模拟题主要考察以下几个核心内容:
1. 反比例函数与一次函数的结合
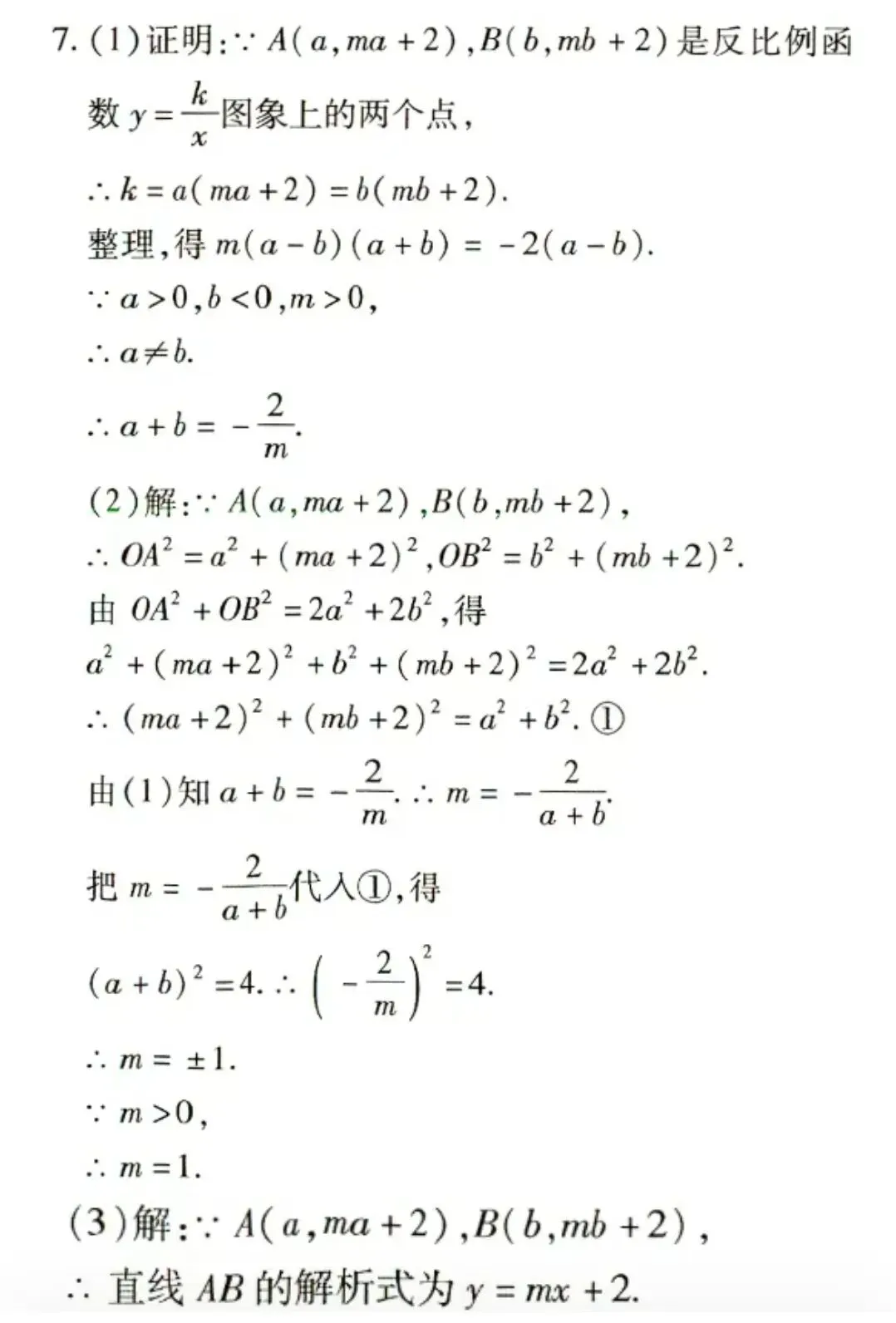
点 A, B 同时满足反比例函数 y = k/x 和直线方程 y = mx + 2(因为纵坐标形式为 ma+2,说明它们在一条斜率为 m、截距为 2 的直线上)。
这考察学生对“点在函数图象上”即坐标满足函数解析式的理解,以及联立方程消参的能力。
2. 代数变形与整体代换
第一问通过 ma+2 = k/a 和 mb+2 = k/b 相减,因式分解得到 a+b 的关系。
· 这考察学生处理对称式、因式分解、消去 k 的技巧。
3. 距离公式与条件化简
第二问用到 OA^2 = x^2 + y^2,代入 y = mx+2,再将 OA^2 + OB^2 与 2a^2+2b^2 对比。
核心是代入 a+b = -2/m 后,许多项相消,得到关于 m 的简单方程。
·考察代数恒等变形、整体代入的能力
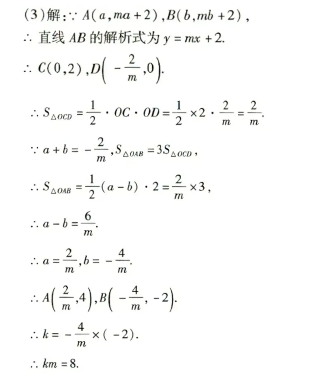
4. 坐标系中三角形面积的几何意义
第三问引入点 C, D(根据常见设问,通常是直线 AB 与坐标轴的交点)。
要求学生能求出直线 AB 方程,进而找到它与 x 轴、y 轴交点坐标。
三角形 OCD 是直角三角形,面积直接用坐标计算。
三角形 OAB 的面积用顶点坐标公式 化简。
5. 整体求值(km 的乘积)
最后求 km 而不是单独求 k 或 m,暗示计算过程中不需要分别求出每个参数,只需整体代换。
考察学生目标导向的代数运算策略。
总结(考察能力):
· 函数与方程思想
· 代数恒等变形
· 坐标法求距离与面积
· 参数的整体处理与消元技巧
· 几何条件代数化