在中考数学试卷中,几何压轴题向来是拉开分数差距的核心题型。这类题目条件繁杂、图形抽象、思路隐晦,让众多考生倍感棘手。其实,几何压轴题并非无章可循,只要掌握科学、系统的解题方法,就能化繁为简、突破难点。本文结合2023-2025云南中考几何压轴题,深度拆解压轴题三步解题法,帮你快速梳理解题逻辑、规范书写步骤,轻松拿下几何压轴高分。
一、方法核心:三步破局,难题秒变简单题
三步解题法的核心口诀朗朗上口:一审二推三排序,压轴难题不畏惧。从审题挖条件、倒推找思路,到排序写过程,形成完整闭环,彻底解决几何题“不会想、想不通、写不对”的痛点。
第一步:滚雪球审题法——吃透条件,挖掘隐藏信息
解题的前提是读懂题,滚雪球审题法就是边读题、边推导,让已知条件像雪球一样越滚越大,把题目“读透、挖透”。
1.逐字逐句读题,不遗漏任何符号、条件与图形特征;
2.每读一个条件,立刻推出直接结论,不拖延、不跳过;
3.深挖隐藏性质、解题暗示、图形定理限制;
4.汇总所有推导信息,让题目条件完全透明化。
核心口诀:读一句,推一步,条件越滚越多,思路自然出现。
第二步:倒推法找思路——反向溯源,锁定解题路径
几何压轴题的思路往往藏在问题里,倒推法从问题出发,反向推导所需条件,直到与已知条件衔接,快速找到解题方向。
1.明确题目问题,锁定最终解题目标;
2.思考“要得出答案,上一步需要什么条件”;
3.层层倒推,逐步靠近已知条件;
4.当倒推结果与已知条件接轨,思路即刻成型。
核心口诀:从问题往回找,缺什么找什么,思路一下就通。
第三步:排序法写过程——规范书写,步骤不丢分
思路理清后,把倒推的步骤颠倒顺序,从已知条件出发,一步步严谨推导,就是中考标准答题步骤。
1.反转倒推步骤,按“已知→推导→结论”排序;
2.每一步标注定理依据,不跳步、不省略;
3.格式规范、逻辑清晰,贴合中考评分标准。
核心口诀:倒着想,顺着写,步骤规范不丢分。
二、实战演练:2023-2025云南中考几何压轴题全解
1.(2023中考23题)题目呈现:
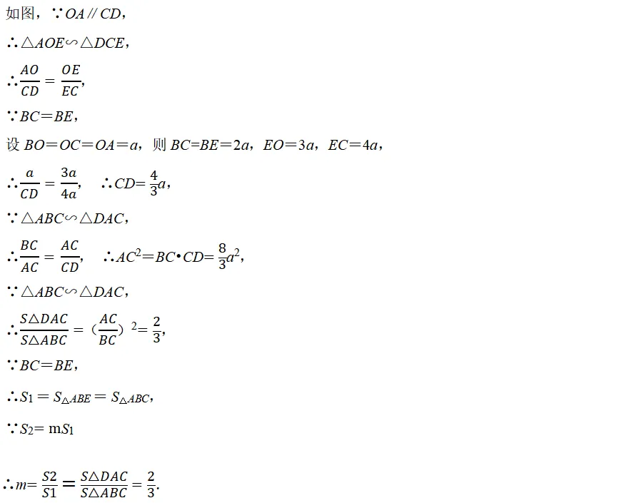
如图,BC是⊙O的直径,A是⊙O上异于B、C的点.⊙O外的点E在射线CB上,直线EA与CD垂直,垂足为D,且DA•AC=DC•AB.设△ABE的面积为S1,△ACD的面积为S2.
(1)判断直线EA与⊙O的位置关系,并证明你的结论;
(2)若BC=BE,S2=mS1,求常数m的值.

第一步:滚雪球审题,快速扩条件

第二步:倒推找思路,直击核心
(1)证EA是切线

(2)求常数m的值


第三步:排序书写,满分步骤
(1)证明:

(2)解:

2.(2024中考27题)题目呈现:
如图,AB是⊙O的直径,点D、F是⊙O上异于A、B的点.点C在⊙O外,CA=CD,延长BF与CA的延长线交于点M,点N在BA的延长线上,∠AMN=∠ABM,AM•BM=AB•MN.点H在直径AB上,∠AHD=90°,点E是线段DH的中点.
(1)求∠AFB的度数;
(2)求证:直线CM与⊙O相切;
(3)看一看,想一想,证一证:以下与线段CE、线段EB、线段CB有关的三个结论:CE+EB<CB,CE+EB=CB,CE+EB>CB,你认为哪个正确?请说明理由.

第一步:滚雪球审题,快速扩条件

第二步:倒推找思路,直击核心
(1)求∠AFB
直径性质直接得结论,无需复杂推导。
(2)证CM是切线
要证相切→证OA⊥CM→证∠MAB=90°→证△AMN∽△ABM,与已知条件完全契合。
(3)判断CE+EB与CB关系

解决问题的思想是:猜一半证一半
通过观察猜测:CE+EB=CB
由于母题中没有说明BC与DH相较于点E,设BC与DH交于点G,
所以,要证CE+EB=CB,就要证明点E在线段BC上,
要证点E在线段BC上,就要证点E、G重合;
由于已知EH=ED,
所以,要证点E、G重合,就要证GH=GD.
由此,我们就把问题的核心转化为推导GH与GD之间的数量关系上了
一般要推导线段之间的数量关系,往往利用相似的性质进行推导,

第三步:排序书写,满分步骤
(1)解:
∵AB是⊙O的直径,
∴∠AFB=90°。

(3)证明:
正确的结论为:CE+EB=CB,理由:
连接OC,OD,过点B作⊙O的切线,交CD的延长线于点K,设BC与DH交于点G,如图,



3.(2025中考27题)题目呈现:
如图,⊙O是五边形ABCDE的外接圆,BD是⊙O的直径.连接AC,BE,CE,∠AEC=∠ACF.
(1)若CE=CB,且∠CBE=60°,求∠BCE的度数;
(2)求证:直线CF是⊙O的切线;
(3)探究,发现与证明:
已知AC平分∠BAE,是否存在常数a,b,使等式AC2=aBC•CE+bAB•AE成立?若存在,请直接写出一个a的值和一个b的值,并证明你写出的a的值和b的值,使等式AC2=aBC•CE+bAB•AE成立;若不存在,请说明理由.

第一步:滚雪球审题,快速扩条件
母题:

(1)问:

(3)问:

第二步:倒推找思路,直击核心
(1)求∠BCE
审题中就可得出结论,无需复杂推导。
(2)证CF是切线


(3)证存在常数a,b,使等式AC²=aBC•CE+bAB•AE成立

第三步:排序书写,满分步骤
(1)解:
∵CE=CB,且∠CBE=60°,
∴△CBE是等边三角形,
∴∠BCE=60°;
(2)证明:

(3)证明:


三、方法总结
压轴题三步解题法,是专为中考几何压轴题打造的高效解题模板:
• 滚雪球审题:吃透所有条件,不留信息盲区;
• 倒推法找思路:反向突破,快速锁定解题逻辑;
• 排序法写过程:规范步骤,稳稳拿到满分。
掌握这一方法,面对复杂几何压轴题时,就能做到思路清晰、推导严谨、书写规范,轻松突破中考数学高分瓶颈!