长郡、雅礼、附中期中考试落幕,几家欢喜几家愁。有的孩子平时踏实积累,考场稳扎稳打,顺利交出了满意答卷;也有不少孩子考完心里没底,发挥失常、错题扎堆,心里满是焦虑和迷茫。这两天很多家长和孩子都主动发来试卷、询问学情,希望帮忙做专业试卷分析,找准失分原因、理清知识漏洞,规划后续的查漏补缺和提升方向。其实一次期中考试只是阶段性学情检测,不定义能力,更不决定未来,考得好的稳住优势、戒骄戒躁,暂时失利的找准问题、及时补强,紧跟节奏踏实复盘,一样能实现弯道超车。
长郡期中联考数学试卷整体难度中等偏低,试卷命题侧重对基础知识点、核心方法与解题规范的全面考查,题型常规、考点清晰,无偏题、怪题与复杂的综合陷阱。只要课堂上认真听讲、扎实掌握核心内容,课后及时复习、训练到位,拿到高分甚至满分并不困难。
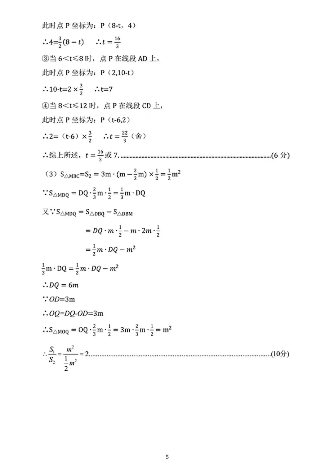
从压轴题来看,可以说无小题压轴,10、16题常规难度。甚至说24、25也是常见题型。第24题以“郡园点”为背景设置新定义问题,本质是考查点坐标关系转化为二元一次方程组求解,整体思路清晰、入口较宽,仅计算量略大。第25题围绕平面直角坐标系展开,第一问考查平移变换,第二问利用面积比例反求动点坐标,均为高频常规考法;第三问虽综合性稍强,需要结合角的倍数关系,利用平行线性质与角度转化进行设元推导,但整体逻辑链短、推导过程不复杂,属于“上手易、拿满稳”的压轴设计。
若本次考试成绩不理想,建议重点回归基础,全面复盘实数运算、二元一次方程组、平面直角坐标系、平行线性质与判定四大核心模块,精准定位薄弱知识点与不熟练题型,针对性查漏补缺、补齐短板。对于成绩优异的同学,也不可掉以轻心,仍需夯实基础、规范步骤、强化审题,在保持稳定发挥的同时,适当提升复杂题型与新定义问题的解题速度与严谨性,为后续更具挑战性的学习做好准备。













二、雅礼期中试卷解析+分析
雅礼集团七下期中数学试卷难度适中、考点经典、结构稳定,知识覆盖全面,紧扣教材与集团联考风格,着重考查学生的计算基本功、审题细致度、几何推理能力与模型应用能力。试卷整体不偏不怪,但中档题密集、细节陷阱多,非常考验学生的基础扎实度与答题习惯。能达到110分以上的学生,基础能力与应试习惯均十分优秀。
从命题趋势来看,本次试卷与往年雅礼期中真题高度相似,无论是选填压轴、新定义、坐标系综合,还是应用题背景,都延续了集团一贯考法,充分说明真题训练对备考雅礼集团考试极具价值。











本次附中集团七下期中数学试卷区分度极大,呈现出基础题送分、中档题扎实、压轴题拉分的鲜明特点:简单题非常基础,难题极具挑战性,对中等生而言压力偏大,但命题风格与中考高度一致,侧重考查计算能力、逻辑推理、分类讨论、动态几何等核心素养,是一份典型的名校选拔型试卷。








四、期中考后学习建议
① 基础概念:细节决定对错,课堂决定性价比
基础概念看似简单、考查分值不高,但最容易因上课走神、轻视简单内容而遗漏关键细节,导致考试丢分。这类知识点记忆成本低、得分性价比高,建议同学们:
• 课堂上无论知识点难易,都保持专注,不漏听任何一句定义、条件与注意事项;
• 若概念题出错,务必及时复盘,把易错点补充到对应笔记中,强化一次就能长期不丢分。










② 基础计算:会做≠得分,习惯决定稳定
基础计算是必拿满分的板块,很多同学失分并非不会,而是轻视简单题,出现抄错数、漏变号、跳步、审题不清等粗心问题。
想要彻底杜绝计算失误,要从平时养成三点习惯:
• 先仔细审题,看清数字、符号、要求再动笔;
• 计算不跳步,薄弱步骤多写一步,草稿清晰有序;
• 做完立刻回代检验,方程组、实数运算优先自查。
只有平时细节到位,考试才能稳定发挥。

③ 用真题查漏补缺更高效
初中数学,基础是关键,真题是核心。
备考最科学、最高效的提升路径,就是用往年真题查漏补缺,用错题补齐短板。把每一道真题做透、每一类模型掌握、每一个漏洞补上,考试一定能稳中求胜!

④压轴题分专题精讲突破
新定义题型
先读懂规则→转化为方程/坐标→按常规题求解。
平面直角坐标系·动点问题
用时间表示坐标→分位置讨论→列式计算。
坐标系面积问题
统一用割补法,先框住、再减边,思路最稳。
设元导角·平行线综合
标角→设元→列式→消元,一套流程走到底。

名校卷、学习资料、政策资讯、压轴题讲解视频进群分享👇


找巅峰数学刘老师