刚分析完深圳实验中学期中试卷,总结了期中拿高分的具体策略,对着做就行

四季读书网 1 0
刚分析完深圳实验中学期中试卷,总结了期中拿高分的具体策略,对着做就行
↑关注我,送您一份我整理的《深圳中考压轴解题技巧68条》+《深圳中考数学解题注意事项》
Hi,我是深圳数学胡老师,从事小学、初中教学11年,曾带过1000+线下学员,一个口碑还不错的老师。
温馨提示:全文2235字
预计阅读时间为5-6分钟
实验中学和深圳中学的期中考试率先开启,大多数学校的期中都在五一后陆续开始。
今天胡老师先结合实验中学的试卷分析一下娃接下来要怎么去复习【文末找我领真题资料】
1、实验中学的考点范围及难度情况
首先实验中学本次考察的范围分别为:整式乘除、平行线与相交线、概率、三角形。选择与填空考察基础概念较多,要求平时对于所学内容要理解扎实,不能模糊
难度:相对来说正常,只有填空最后一题和大题的最后一问稍微有难度,但不是特别难,基础好的学生做完应该会有空余时间,卷子满分选手应该不会是个位数。
变化:题号结构回到24年之前的试卷题号组成,选择10题,填空5题,解答题7题,看似题目变多了,但实际的难度也在回归正常,
2、深圳实验中学期中试卷的深度分析
本次实验的试卷整体的结构除了题号与近两年不同,整体的难度分明,,比较贴合24年之前的试卷组成,少了近几年常见的19题材料探究内容,中等生做起来也不会感到压力,主要就是考察对于知识点的理解情况
基础题
试卷基础题占比相对较高,大多都是学校作业常布置的内容,覆盖中考常考的随机事件,整式乘除、平行线性质,三角形表角关系等核心考点,题干表述清晰,审题门槛低
主要考查学生的计算正确率和概念掌握的熟练度以及基础答题规范性,这一部分内容是必须得保证满分,也是和其他基础不扎实的同学拉开差距的关键
中档题
中档题为试卷的分层点,主要是10、14、20、21题重点考察了平行线的折叠问题,以及三角形全等证明和性质应用上,需要绕弯的不多,基本按照正常学习几何的顺序和方法就能搞定
压轴题
压轴题就填空的15题以及22。
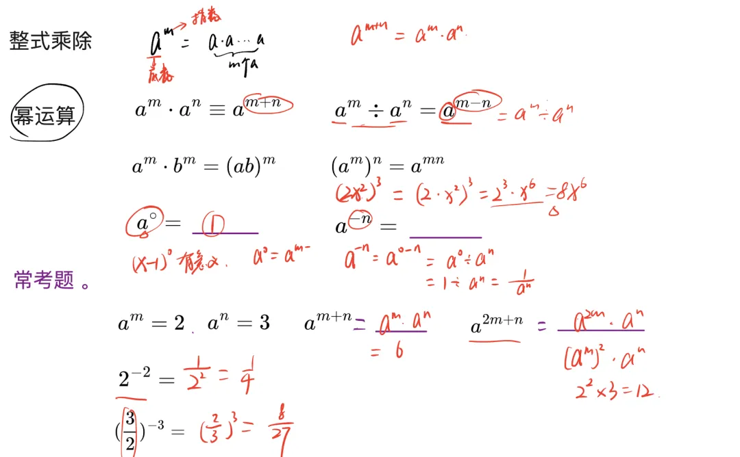
15题考察对于同底数幂的应用
考点拆解:
这里不仅仅是单个公式的理解,还要把下图这些由最基础的公式延伸的其他结论相互转化应用,这要求学生有很扎实的基础与推导能力
刚分析完深圳实验中学期中试卷,总结了期中拿高分的具体策略,对着做就行 第1张
刚分析完深圳实验中学期中试卷,总结了期中拿高分的具体策略,对着做就行 第2张
22题就考察了平行线里面的动角问题
考点拆解及思路:
第(2)问这里面分类讨论是考察学生能不能根据静图去联想动图的情况,再把动态情况转成静态完成。这种类型平时多去思考动态与静态之间的联系,在哪些范围里结论都是一样的
第(3)问会用到初一上的动角与平行的关系,解决这类题,一般都是把旋转的线段与所有线段关系平移至共端点进行旋转,将复杂的平行图转化成简单易操作的射线旋转,满足目标线段共线再讨论是否符合实际情况即可
3、对于还未期中考试的同学建议
(1)可以将本试卷按照考试要求自己做一遍,一定要重视过程书写和计算正确率
(2)完成后将自己不熟练的地方进行重点复习
(3)额外去复习
整式乘除:杨辉三角与高次公式、指数幂运算(填空第15题多研究原理)
平行:平行与动线段、长方形纸条与折叠
全等:三角形的中线(交点:重心)、高线(交点:垂心)、角平分线(交点:内心)(相关应用可以找学校作业的练习题)
全等三角形的手拉手模型和一线三等角的相关结论(我的视频号里有讲解)

4、考前应试技巧

(1)答题顺序:遵循“先易后难”,先做选择填空基础题,再做中档解答题,最后攻克压轴题,遇到不会的题立即标记跳过,不纠结、不内耗;

(2) 审题技巧:逐字读题,圈画关键条件、数字、限制要求,尤其注意“不正确”“取值范围”“用含m的代数式表示”等关键词,避免审题失误;

(3)检查技巧:做完所有会做的题后,优先检查基础题、计算类题目,再检查中档题,核对答案、步骤、单位,压轴题最后检查分类讨论是否全面;

(4)步骤得分技巧:不会做的题,不要空题,把题目已知条件、相关公式、定理写上去,尽可能拿到步骤分,绝不留白。

5、给家长的科学陪考建议

(1)放平心态,摒弃分数焦虑

期中是诊断考试,分数只代表现阶段学习情况,不决定未来成绩,不拿孩子和他人攀比,不频繁追问分数、不反复唠叨学习,多给予鼓励和肯定,帮助孩子正视错题,缓解考前紧张情绪。

(2)科学规划学习,拒绝盲目刷题

不擅自给孩子购买大量习题集、不安排过量刷题任务,配合老师复习节奏,督促孩子吃透平时错题,重视错题复盘,做到“做一道题会一类题”,比海量刷题更有效。

(3)全程紧盯答题细节

日常提醒孩子规范书写、完整写步骤、认真审题、手写草稿,改掉跳步、口算、字迹潦草、不检查的坏习惯,家长可简单查看孩子作业,监督步骤书写是否规范。

(4)做好后勤保障,稳住作息状态

保证孩子三餐营养均衡、睡眠充足,不熬夜刷题、不搞疲劳战,每天预留30分钟放松时间(散步、听轻音乐),缓解学习压力;营造安静、轻松的家庭氛围,减少家庭琐事对孩子的干扰。

(5)关注孩子情绪,做好心理疏导

考前孩子易出现焦虑、烦躁、自我否定等情绪,家长多倾听、少说教,及时安抚孩子情绪,帮孩子建立备考信心,让孩子以平稳、积极的心态应对每一次考试。

写在最后

学习是长期的事情,不论考试考的好与不好,都应该向前看,考的好继续加油,保持优势,没考好也要及时总结错题原因,及时纠正,争取下次更好

如果你想快速把期中知识点复习一遍的话,可以私聊找我要我前几天的的期中复习直播回放,所有要考察的知识点都有带着复习。
同时有一些家长说想要在期中考试结束之后好好复习巩固,正好我准备在5月下旬开启【初中复习打卡训练营】,带他们一起高效准备期末考试。有需要的家长直接找我

关注我,我会分享更多学习方法和资料,总有一个能帮到你。另外也欢迎你加入【胡老师学习分享群】

刚分析完深圳实验中学期中试卷,总结了期中拿高分的具体策略,对着做就行 第3张

抱歉,评论功能暂时关闭!