
专题18 解直角三角形
复习目标
1.理解正弦、余弦、正切的概念,并能运用.
2.掌握特殊角三角函数值,并能运用特殊角的三角函数值进行计算和化简;
3.理解直角三角形的概念,灵活运用直角三角形中边与角的关系和勾股定理解直角三角形,提高把实际问题转化为解直角三角形问题的能力;
考点梳理
一、直角三角形的性质
1、直角三角形的两个锐角互余 可表示如下:∠C=90°,∠A+∠B=90°
2、在直角三角形中,30°角所对的直角边等于斜边的一半。
可表示如下:

3、直角三角形斜边上的中线等于斜边的一半
可表示如下:

4、勾股定理 直角三角形两直角边a,b的平方和等于斜边c的平方,即a^2+b^2=c^2
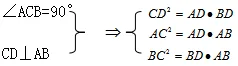
5、射影定理

在直角三角形中,斜边上的高线是两直角边在斜边上的摄影的比例中项,每条直角边是它们在斜边上的摄影和斜边的比例中项

6、常用关系式
由三角形面积公式可得:
AB*CD=AC*BC
二、直角三角形的判定
1、有一个角是直角的三角形是直角三角形。
2、如果三角形一边上的中线等于这边的一半,那么这个三角形是直角三角形。
3、勾股定理的逆定理
如果三角形的三边长a,b,c有关系a^2+b^2=c^2,那么这个三角形是直角三角形。
三、锐角三角函数的概念
1、如图,在△ABC中,∠C=90°

①锐角A的对边与斜边的比叫做∠A的正弦,记为sinA,即sinA=a/c
②锐角A的邻边与斜边的比叫做∠A的余弦,记为cosA,即cosA=b/c
③锐角A的对边与邻边的比叫做∠A的正切,记为tanA,即tanA=a/b
④锐角A的邻边与对边的比叫做∠A的余切,记为cotA,即cotA=b/a
2、锐角三角函数的概念
锐角A的正弦、余弦、正切、余切都叫做∠A的锐角三角函数
3、一些特殊角的三角函数值

4、各锐角三角函数之间的关系
(1)互余关系
sinA=cos(90°—A),cosA=sin(90°—A)
tanA=cot(90°—A),cotA=tan(90°—A)
(2)平方关系

(3)倒数关系
tanA*tan(90°—A)=1
(4)弦切关系
tanA=sinA/cosA
5、锐角三角函数的增减性
当角度在0°~90°之间变化时,
(1)正弦值随着角度的增大(或减小)而增大(或减小)
(2)余弦值随着角度的增大(或减小)而减小(或增大)
(3)正切值随着角度的增大(或减小)而增大(或减小)
(4)余切值随着角度的增大(或减小)而减小(或增大)
四、解直角三角形
1、解直角三角形的概念
在直角三角形中,除直角外,一共有五个元素,即三条边和两个锐角,由直角三角形中除直角外的已知元素求出所有未知元素的过程叫做解直角三角形。
2、解直角三角形的理论依据
在Rt△ABC中,∠C=90°,∠A,∠B,∠C所对的边分别为a,b,c
(1)三边之间的关系:a^2+b^2=c^2(勾股定理)
(2)锐角之间的关系:∠A+∠B=90°
(3)边角之间的关系:sinA=a/c
cosA=b/c
tanA=a/b
cotA=b/a
sinB=b/c
cosB=a/c
tanB=b/a
cotB=a/b
