2009年高考数学试卷解析(全国I卷)

四季读书网 9 0
2009年高考数学试卷解析(全国I卷)

2009年高考数学全国Ⅰ卷延续“重基础、重思维、重综合”风格,整体难度适中,部分压轴题对思维深度要求高。试卷覆盖集合、复数、不等式、圆锥曲线等核心考点,基础题(如集合运算、复数计算)送分明确,压轴题(如函数与导数、立体几何)注重综合应用与创新。命题既考查知识熟练度,又区分能力层次,体现高考选拔性。题型设计灵活,强调知识迁移,如线性规划与函数结合、立体几何空间想象等,对考生数学素养要求较高。

01 试卷分析

2009年高考数学全国卷Ⅰ试卷满分150分,题型与分值设置规范,选择题12题共60分,填空题4题共20分,解答题6题共70分,覆盖集合、复数、不等式、向量、数列、三角函数、立体几何、解析几何、概率统计、函数与导数等全部主干知识,考点分布均衡,重点突出。选择与填空题以基础题和中档题为主,前8道选择题侧重基本概念与运算,第9至12题难度逐步提升,考查知识理解与灵活应用;填空题覆盖二项式定理、等差数列、外接球、三角函数最值,题型常规、方法典型,侧重核心公式与模型应用。

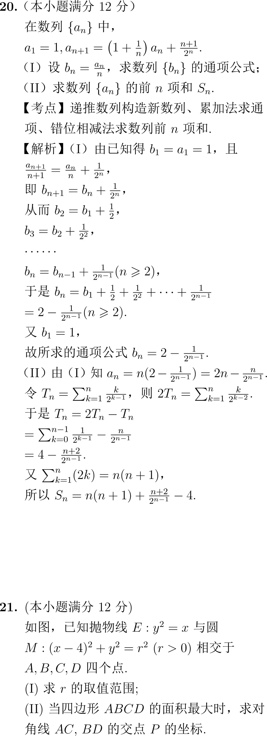
解答题遵循固定命题顺序,难度层层递进,符合考生答题节奏。第17题解三角形,依托正、余弦定理与三角恒等变换,属于基础送分题,侧重公式记忆与简单运算。第18题立体几何以四棱锥为载体,第一问证明线面位置关系,第二问求二面角,几何法与空间向量法均可解答,考查空间想象与逻辑推理能力。第19题概率统计以比赛情境为背景,考查独立事件概率、分布列与数学期望,情境贴近生活、计算量适中,侧重概率思维与分类讨论。第20题数列考查递推公式构造新数列、累加法求通项,以及错位相减法求和,覆盖数列核心考点,步骤清晰但计算易失误,对运算准确性要求较高。第21题解析几何结合抛物线与圆,考查联立方程、判别式、韦达定理与面积最值,突出“设而不求”的代数化思想。第22题函数与导数为压轴题,以三次函数为载体,结合极值点、二次方程根的分布与线性规划,综合性强、思维门槛高,有效区分顶尖水平考生。

试卷命题特色鲜明,一是重视基础与通性通法,绝大多数题目可运用课本常规方法解决,淡化特殊技巧,引导回归教材与核心模型。二是强化数学思想考查,函数与方程、数形结合、分类讨论、转化与化归思想贯穿全卷,突出对思维能力的考查。三是难度梯度科学,基础题占比充足,保障中等考生得分,压轴题适度拔高,实现分层选拔。四是计算量适中,侧重逻辑推理与模型识别,避免繁琐机械运算,符合高考能力立意的命题方向。

从考生答题情况看,易失分点集中在抽象函数性质、数列错位相减计算、解析几何代数变形、外接球模型与导数压轴题的思路转化。基础不扎实、运算不规范、思维不连贯是主要失分原因。这套试卷启示备考必须狠抓教材基础,熟练掌握核心模型与答题模板;强化四大数学思想训练,提升理解与迁移能力;针对性突破易错点,规范答题步骤、提高运算准确率;压轴题优先拿下第一问基础分,不盲目死磕难题。

总体而言,2009年全国卷Ⅰ是一份高质量高考数学试卷,既考查知识掌握,也检验学科素养,难度与区分度匹配高考选拔需求,为后续全国卷命题奠定了稳定风格,对高中数学教学具有重要参考价值。

02 试题详解
2009年高考数学试卷解析(全国I卷) 第1张
2009年高考数学试卷解析(全国I卷) 第2张
2009年高考数学试卷解析(全国I卷) 第3张
2009年高考数学试卷解析(全国I卷) 第4张
2009年高考数学试卷解析(全国I卷) 第5张
2009年高考数学试卷解析(全国I卷) 第6张
2009年高考数学试卷解析(全国I卷) 第7张
2009年高考数学试卷解析(全国I卷) 第8张
2009年高考数学试卷解析(全国I卷) 第9张
2009年高考数学试卷解析(全国I卷) 第10张
2009年高考数学试卷解析(全国I卷) 第11张
2009年高考数学试卷解析(全国I卷) 第12张
2009年高考数学试卷解析(全国I卷) 第13张
2009年高考数学试卷解析(全国I卷) 第14张
2009年高考数学试卷解析(全国I卷) 第15张
2009年高考数学试卷解析(全国I卷) 第16张
03 推荐阅读
2008年高考数学试卷解析(全国Ⅱ卷)
2008年高考数学试卷解析(全国I卷)
2007年高考数学试卷解析(全国Ⅱ卷)
2007年高考数学试卷解析(全国I卷)
2006年高考数学试卷解析(全国Ⅱ卷)
2006年高考数学试卷解析(全国I卷)
2005年高考数学试卷解析(全国Ⅲ卷)
2005年高考数学试卷解析(全国Ⅱ卷)
2005年高考数学试卷解析(全国I卷)
2004年高考数学试卷解析(全国Ⅳ卷)

抱歉,评论功能暂时关闭!