2026届高三虹口二模数学试卷及解析版

四季读书网 8 0
2026届高三虹口二模数学试卷及解析版
2026届高三虹口二模数学试卷及解析版 第1张

喜欢就

关注

我们哦~

免费领取16个区二模卷及解析
关注公众号发送:2026届二模数学
2026届高三虹口二模数学试卷及解析版 第2张
2026届高三虹口二模数学试卷及解析版 第3张
2026届高三虹口二模数学试卷及解析版 第4张
2026届高三虹口二模数学试卷及解析版 第5张
2026届高三虹口二模数学试卷及解析版 第6张
2026届高三虹口二模数学试卷及解析版 第7张

GO

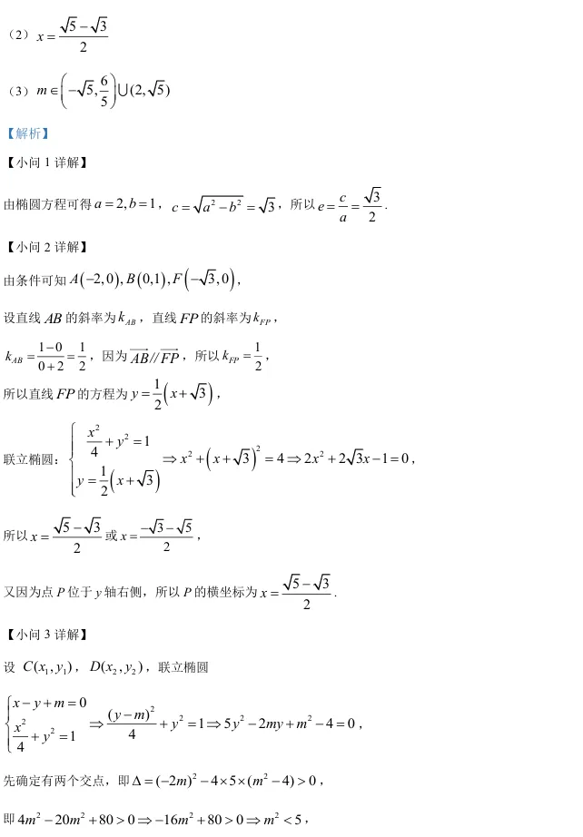
解析

2026届高三虹口二模数学试卷及解析版 第8张
2026届高三虹口二模数学试卷及解析版 第9张
2026届高三虹口二模数学试卷及解析版 第10张
2026届高三虹口二模数学试卷及解析版 第11张
2026届高三虹口二模数学试卷及解析版 第12张
2026届高三虹口二模数学试卷及解析版 第13张
2026届高三虹口二模数学试卷及解析版 第14张
2026届高三虹口二模数学试卷及解析版 第15张
2026届高三虹口二模数学试卷及解析版 第16张
2026届高三虹口二模数学试卷及解析版 第17张
2026届高三虹口二模数学试卷及解析版 第18张
2026届高三虹口二模数学试卷及解析版 第19张
2026届高三虹口二模数学试卷及解析版 第20张
2026届高三虹口二模数学试卷及解析版 第21张
2026届高三虹口二模数学试卷及解析版 第22张
2026届高三虹口二模数学试卷及解析版 第23张
2026届高三虹口二模数学试卷及解析版 第24张
2026届高三虹口二模数学试卷及解析版 第25张
2026届高三虹口二模数学试卷及解析版 第26张
2026届高三虹口二模数学试卷及解析版 第27张
2026届高三虹口二模数学试卷及解析版 第28张
2026届高三虹口二模数学试卷及解析版 第29张
2026届高三虹口二模数学试卷及解析版 第30张
2026届高三虹口二模数学试卷及解析版 第31张
2026届高三虹口二模数学试卷及解析版 第32张
点赞+1   开启幸运!

抱歉,评论功能暂时关闭!