2026届高三长宁二模数学试卷及解析版

四季读书网 5 0
2026届高三长宁二模数学试卷及解析版
2026届高三长宁二模数学试卷及解析版 第1张

点击上方「蓝字」关注我们~

2026届高三长宁二模数学试卷及解析版 第2张
2026届高三长宁二模数学试卷及解析版 第3张
免费领取16个区二模卷及解析
关注公众号发送:2026届二模数学
2026届高三长宁二模数学试卷及解析版 第4张
2026届高三长宁二模数学试卷及解析版 第5张
2026届高三长宁二模数学试卷及解析版 第6张
2026届高三长宁二模数学试卷及解析版 第7张
2026届高三长宁二模数学试卷及解析版 第8张
2026届高三长宁二模数学试卷及解析版 第9张
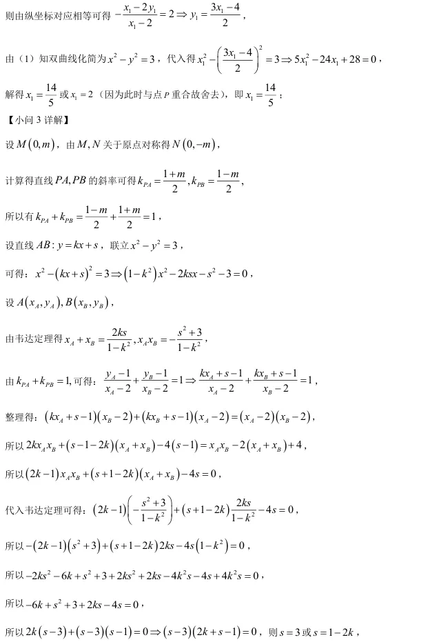
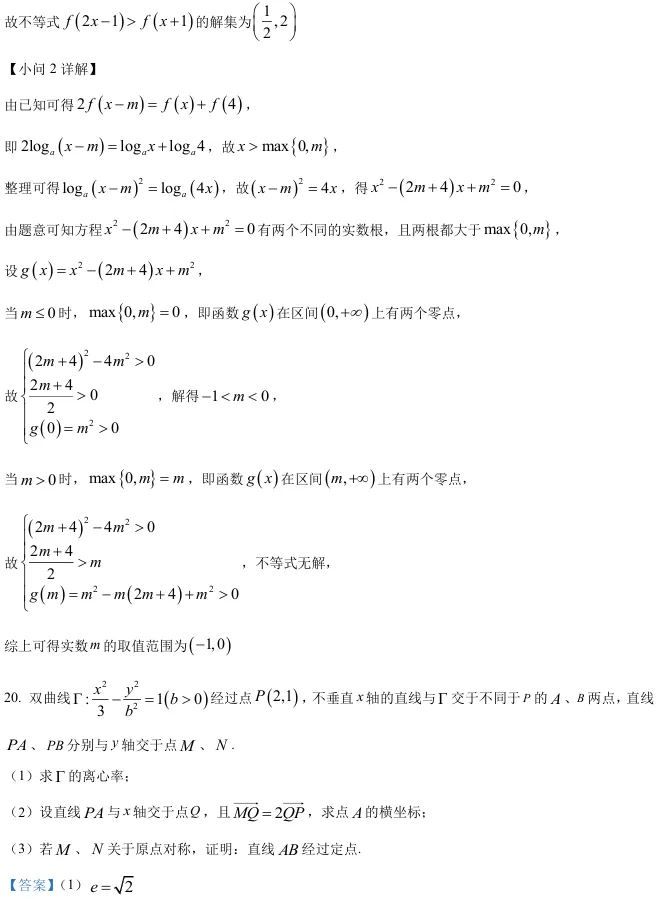
解析
2026届高三长宁二模数学试卷及解析版 第10张
2026届高三长宁二模数学试卷及解析版 第11张
2026届高三长宁二模数学试卷及解析版 第12张
2026届高三长宁二模数学试卷及解析版 第13张
2026届高三长宁二模数学试卷及解析版 第14张
2026届高三长宁二模数学试卷及解析版 第15张
2026届高三长宁二模数学试卷及解析版 第16张
2026届高三长宁二模数学试卷及解析版 第17张
2026届高三长宁二模数学试卷及解析版 第18张
2026届高三长宁二模数学试卷及解析版 第19张
2026届高三长宁二模数学试卷及解析版 第20张
2026届高三长宁二模数学试卷及解析版 第21张
2026届高三长宁二模数学试卷及解析版 第22张
2026届高三长宁二模数学试卷及解析版 第23张
2026届高三长宁二模数学试卷及解析版 第24张
2026届高三长宁二模数学试卷及解析版 第25张
2026届高三长宁二模数学试卷及解析版 第26张
2026届高三长宁二模数学试卷及解析版 第27张
2026届高三长宁二模数学试卷及解析版 第28张
2026届高三长宁二模数学试卷及解析版 第29张

点个好运相伴~

抱歉,评论功能暂时关闭!