中考喜欢考的两种题:一种贴近生活,一种结构精巧——这两题帮你练透!

四季读书网 7 0
中考喜欢考的两种题:一种贴近生活,一种结构精巧——这两题帮你练透!

中考数学拿高分,光刷经典题是不够。真正拉分的,往往是两类题:一类贴近生活,需要你能建模一类结构精巧,需要你强推理青浦区九上期末的第22题(停车建模问题)和第25题(隐藏的黄金比例问题),正好是这两类的典型代表。认真复盘这两道,比盲目刷十道同类题更有效。

第22题  停车位问题——练“建模+判断”
中考喜欢考的两种题:一种贴近生活,一种结构精巧——这两题帮你练透! 第1张
1. 真实情境,不是“套公式”

不是给个图、标好角度边长直接算需要自己从文字和参考数据中提取有效信息(车门长100cm、夹角70°、安全距离10cm等)这是中考/期末越来越常见的“数学建模”导向2. 有判断、有决策,不是只求一个数第(1)问:能不能顺畅出来 → 结论型问题第(2)问:是否占用人行道 → 也是判断培养学生用数学结果做实际决策的能力3. 数据设计有“陷阱”也有“善意”参考数据给了sin70°、sin25°等,但用哪个、怎么用,需要自己选三角函数不是直接考计算,而是考工具选择与近似估算精确到1厘米 → 培养实际工程中的精度意识4. 跨知识点融合三角函数 + 几何位置关系 + 不等式比较不超纲,但综合性强

解题核心(快速回顾)车位三面围墙,汽车倒车入库前车门长100 cm,与车身夹角70°车门与车身夹角不小于25°时,驾驶员能顺畅出来车宽(含后视镜)215 cm,后视镜与墙保持10 cm安全距离第(1)问:能不能顺畅出来?关键计算开门时车门最外点的水平距离:

100×sin70°100×0.94=94 cm
判断逻辑车位宽度需要 ≥ 车身一半 + 车门水平投影 + 安全余量。代入数据比较,得出结论。第(2)问:车门完全打开时,是否占用人行道?思路计算车门最外点到车位边界的距离,再与已知的270 cm比较。中考备考重点能力这道题练什么信息提取从文字和参考数据中选对数值工具选择用哪个三角函数?sin还是cos?建模判断不是只求一个数,而是做“能不能”的结论估算精度精确到1厘米,培养实际意识中考启示:生活应用题不考复杂计算和公式,考的是你能不能把实际问题变成数学问题,从而解决。

第25题  几何综合问题——练“推理+比例链”
中考喜欢考的两种题:一种贴近生活,一种结构精巧——这两题帮你练透! 第2张
1. 条件少,结论深

只给一个角关系:∠ABC = 2∠C,BD平分∠ABC再加两条线段长:AD=4,DC=5就能推出BC → 典型的“少条件、多推理”2. 隐藏的“等腰三角形”是关键由2倍角 + 平分 → 推出∠DBC = ∠C → DB = DC这个转折是整道题的灵魂,也是学生最容易卡住的地方好题的标准之:卡住的地方恰恰是数学思想最浓的地方3. 比例链条非常漂亮

中考喜欢考的两种题:一种贴近生活,一种结构精巧——这两题帮你练透! 第3张
两个比例方程联立 → 唯一解这种“比例套比例”的结构,和黄金分割的本质(自相似比例)是同一类数学美4. 为第(2)问埋下伏笔,层层递进第(1)问是具体计算第(2)问上升到一般关系(PC与AB的数量关系)最后一问甚至出现2倍角关系(∠PAQ = 2∠BAQ),和第(1)问的2倍角呼应好题的标准之:小题之间不是孤立的,而是层层爬坡
解题核心(快速回顾)
已知:∠ABC = 2∠C,BD平分∠ABC,AD=4,DC=5,求BC。
关键推理步骤(中考必会)

第1步:发现等腰三角形设∠C = α,则∠ABC = 2α,∠ABD = ∠DBC = α。所以∠DBC = ∠C → DB = DC = 5。第2步:角平分线定理

中考喜欢考的两种题:一种贴近生活,一种结构精巧——这两题帮你练透! 第4张

中考备考重点能力这道题练什么角的关系转化2倍角+平分→等腰三角形角平分线定理快速建立线段比相似三角形判定发现隐藏的两角相似比例链联立两个比例方程解一个未知数中考启示:几何综合题的灵魂是“比例链条”,找到第一个比例,就能串起整个题。黄金分割是这题隐藏的“大佬”。两道题的“中考价值”对比

维度第22题第25题中考题型实际应用/三角函数几何证明与计算核心能力建模 + 判断推理 + 比例易错点用错三角函数、忽略单位没发现等腰、相似配对错误提分关键平时多练“生活情境题”平时多练“角平分线+相似”组合中考频率逐年上升经典高频最后的建议
第22题不要只算答案,要练“判断过程”——中考阅卷看重你的理由是否充分。第25题不要只求BC,要能把每一步的推理依据(等腰、角平分线定理、相似)写清楚。中考几何题,步骤分比答案分更值钱。两道题,两个方向。吃透它们,中考遇到同类题,你心里就有底。你可以这样做1.先独立做一遍(不看解析)2.对照上面的关键步骤,找出自己卡在哪里3.把卡住的地方记下来,那就是你的提分


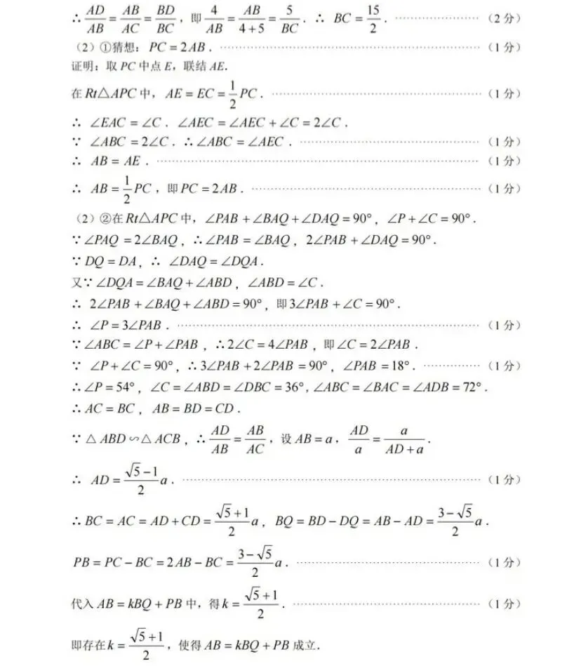
参考答案和评分标准:

中考喜欢考的两种题:一种贴近生活,一种结构精巧——这两题帮你练透! 第5张
中考喜欢考的两种题:一种贴近生活,一种结构精巧——这两题帮你练透! 第6张
中考喜欢考的两种题:一种贴近生活,一种结构精巧——这两题帮你练透! 第7张


抱歉,评论功能暂时关闭!