今天给大家分享的是六年级数学第四单元《比例》的试卷详细分析。这份卷子我已经逐题整理,把考点、易错点、典型错题都做了标注,方便家长对照孩子试卷,精准查漏补缺。比例是六年级非常核心的内容,也是小升初高频考点,
涉及:比例的意义与基本性质+解比例+正比例与反比例+比例尺+用比例解决实际问题,
很多孩子看似听懂了,一做题就容易出现这些问题: ①比例基本性质用错 ②内外项搞混 ③解比例计算粗心
④ 正反比例判断不清 ⑤比例尺忘记统一单位
这份分析里,我把整张试卷按知识点拆分,每一类错题都标注了错因+正确思路,家长不用懂数学也能带着孩子对照订正。建议家长保存下来,陪孩子一起对照试卷过一遍,把薄弱环节补上,为后面的学习打好基础。
一、比例的意义与基本性质📘
核心公式:
在比例里,两个外项的积=两个内项的积,
若a:b = c:d,则ad=bc
关键结论:
内项互为倒数→外项积=1;最小合数=4
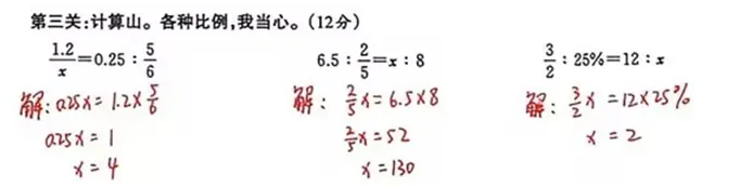
【考题对标】:填空1、2;选择1、4、6;第三关 解比例全题





二、正比例与反比例📘
正比例:比值(商)一定,y÷x=k(一定),
图像:过原点直线
反比例:乘积一定,x×y=k(一定),
图像:曲线
不成比例:和一定、差一定
【考题对标】:填空1、7;选择2、5;应用题2、4、5
三、比例尺(重难点)📘
核心公式(必会必背)
• 比例尺=图上距离:实际距离
• 实际距离=图上距离÷比例尺
• 图上距离=实际距离×比例尺
单位换算:1 km=100000 cm,计算先统一单位,大单位化成小单位
【考题对标】:填空3、6、8;选择5、7;操作2;应用题3







四、图形的放大与缩小📘
不变量:形状、内角大小完全不变
变化规律
• 边长比=缩放比
• 周长比=缩放比
• 面积比=缩放比的平方
【考题对标】:填空9;选择3;操作1



五、用比例解决实际问题📘
解题三步法
第一步:找不变量
第二步:商一定→正比例;积一定→反比例
第三步:列比例→解方程→作答
【考题对标】:应用题1、4、5、6;选做题


六、高频易错陷阱(必背)⚠️
【选择5·锯木头】:锯3段=锯2次,锯6段=锯5次,时间与次数成正比例
【比例尺】:必须先统一单位(cm)再计算
【图形缩放】:面积比≠边长比,是平方倍
【比例判断】:和/差一定→不成比例
【解比例】:必须用内项积=外项积
这份比例单元试卷雪儿老师就分析这里啦!
文章来源:
四季读书网
版权声明:本文内容由互联网用户自发贡献,该文观点仅代表作者本人。本站仅提供信息存储空间服务,不拥有所有权,不承担相关法律责任。如发现本站有涉嫌抄袭侵权/违法违规的内容, 请发送邮件至23467321@qq.com举报,一经查实,本站将立刻删除;如已特别标注为本站原创文章的,转载时请以链接形式注明文章出处,谢谢!