2026湖北新八校联考4月高考数学试卷+答案解析(可打印)

四季读书网 11 0
2026湖北新八校联考4月高考数学试卷+答案解析(可打印)

百度网盘链接:https://pan.baidu.com/s/1yFtgDf2PwY65wREMTC4UbQ?pwd=oVo9 

2026湖北新八校联考4月高考数学试卷+答案解析(可打印) 第1张
2026湖北新八校联考4月高考数学试卷+答案解析(可打印) 第2张
2026湖北新八校联考4月高考数学试卷+答案解析(可打印) 第3张
2026湖北新八校联考4月高考数学试卷+答案解析(可打印) 第4张
2026湖北新八校联考4月高考数学试卷+答案解析(可打印) 第5张
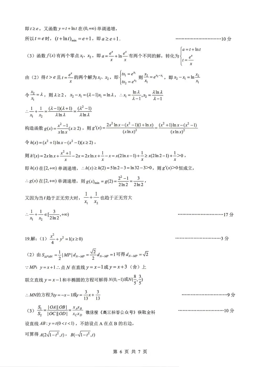
2026湖北新八校联考4月高考数学试卷+答案解析(可打印) 第6张
2026湖北新八校联考4月高考数学试卷+答案解析(可打印) 第7张
2026湖北新八校联考4月高考数学试卷+答案解析(可打印) 第8张
2026湖北新八校联考4月高考数学试卷+答案解析(可打印) 第9张
2026湖北新八校联考4月高考数学试卷+答案解析(可打印) 第10张
推荐3本高考数学提分专题书

点击小程序极米数学工作室购买

2026湖北新八校联考4月高考数学试卷+答案解析(可打印) 第11张2026湖北新八校联考4月高考数学试卷+答案解析(可打印) 第12张2026湖北新八校联考4月高考数学试卷+答案解析(可打印) 第13张

抱歉,评论功能暂时关闭!