首发!4月11日走美国际1-6年级真题解析

四季读书网 11 0
首发!4月11日走美国际1-6年级真题解析
首发!4月11日走美国际1-6年级真题解析 第1张
废话不多说了,直接上干货。
需要PDF文件的,进走美杯群自取。已在各奥数群的,问群主拿即可。
首发!4月11日走美国际1-6年级真题解析 第2张
也可以进入奥数交流群,和其他家长一起交流鸡娃经验。
首发!4月11日走美国际1-6年级真题解析 第3张
一年级真题解析
首发!4月11日走美国际1-6年级真题解析 第4张
首发!4月11日走美国际1-6年级真题解析 第5张
首发!4月11日走美国际1-6年级真题解析 第6张
首发!4月11日走美国际1-6年级真题解析 第7张
首发!4月11日走美国际1-6年级真题解析 第8张
首发!4月11日走美国际1-6年级真题解析 第9张
首发!4月11日走美国际1-6年级真题解析 第10张
二年级真题解析
首发!4月11日走美国际1-6年级真题解析 第11张
首发!4月11日走美国际1-6年级真题解析 第12张
首发!4月11日走美国际1-6年级真题解析 第13张
首发!4月11日走美国际1-6年级真题解析 第14张
首发!4月11日走美国际1-6年级真题解析 第15张
首发!4月11日走美国际1-6年级真题解析 第16张
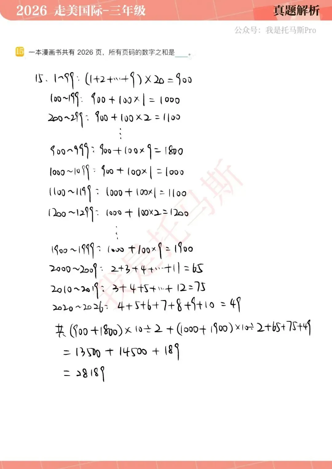
三年级真题解析
首发!4月11日走美国际1-6年级真题解析 第17张
首发!4月11日走美国际1-6年级真题解析 第18张
首发!4月11日走美国际1-6年级真题解析 第19张
首发!4月11日走美国际1-6年级真题解析 第20张
首发!4月11日走美国际1-6年级真题解析 第21张
首发!4月11日走美国际1-6年级真题解析 第22张
四年级真题解析
首发!4月11日走美国际1-6年级真题解析 第23张
首发!4月11日走美国际1-6年级真题解析 第24张
首发!4月11日走美国际1-6年级真题解析 第25张
首发!4月11日走美国际1-6年级真题解析 第26张
首发!4月11日走美国际1-6年级真题解析 第27张
五年级真题解析
首发!4月11日走美国际1-6年级真题解析 第28张
首发!4月11日走美国际1-6年级真题解析 第29张
首发!4月11日走美国际1-6年级真题解析 第30张
首发!4月11日走美国际1-6年级真题解析 第31张
首发!4月11日走美国际1-6年级真题解析 第32张
首发!4月11日走美国际1-6年级真题解析 第33张
六年级真题解析
首发!4月11日走美国际1-6年级真题解析 第34张
首发!4月11日走美国际1-6年级真题解析 第35张
首发!4月11日走美国际1-6年级真题解析 第36张
首发!4月11日走美国际1-6年级真题解析 第37张
首发!4月11日走美国际1-6年级真题解析 第38张
首发!4月11日走美国际1-6年级真题解析 第39张

抱歉,评论功能暂时关闭!