大家好,欢迎来到「四校八大自招强基训练营」的固定栏目——每周一道强基题。
今天我们拆解的,是2025年清华大学强基计划校测数学科目的真题,也是目前全网仅存的、考生回忆整理的6道核心真题中的第2题。
先给大家做最权威的考情说明:2025年清华大学强基计划数学校测,共计30道不定项选择题,满分100分,考试时长180分钟(3小时),整体难度对标高中数学联赛一试,核心考察学生对课内知识的灵活运用能力,而非超纲知识点的堆砌。
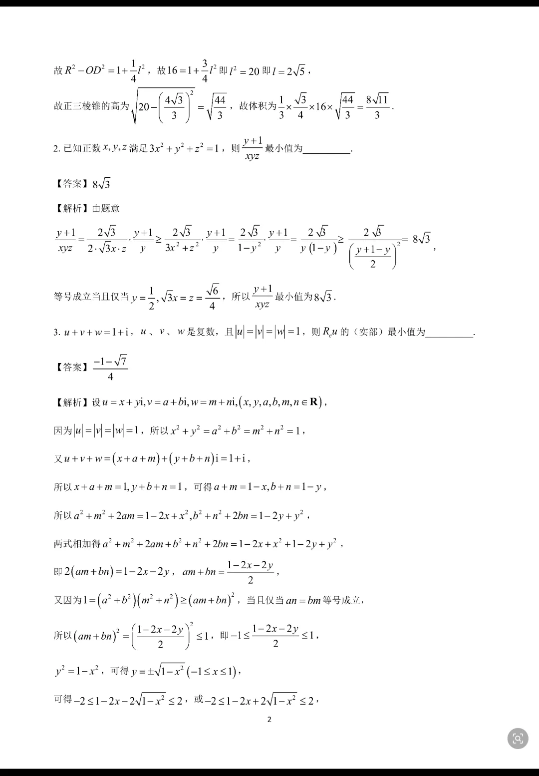
我们先来看2025年清华大学强基计划测试数学试题 第2题

第一步:先看结构——这题到底在考什么?

第二步:怎么想到那个拆分?(最关键)

第三步:代入目标式(瞬间清爽)

第四步:只剩单变量,送分了

方法总结:一类题的通用解题模板
这道题看似灵活,实则有固定的解题逻辑,所有强基/自招的多元最值题,都可以按这个步骤走:
1. 分组绑定:把对称的变量归为一组,单独的变量归为另一组
2. 消元降维:用均值不等式/柯西不等式,把多元问题转化为一元问题
3. 化简求最值:用因式分解、二次函数性质,求单变量的最值
4. 验证等号:必须验证等号成立的条件,确保结果有效
文末福利:2025年清华大学强基计划测试数学试题 全网最全回忆版
本次2025清华强基数学校测,目前全网仅能找到考生回忆整理的6道核心真题,我们已经为大家整理好了完整的题目+超详细分步详解,全部放在下方:






如果觉得本文对你有帮助,欢迎点赞、在看、转发给身边备战自招、强基的家长和同学。