《高中试卷》河北省保定市部分高中2025-2026学年高一上学期12月月考数学试卷(含答案)

四季读书网 10 0
《高中试卷》河北省保定市部分高中2025-2026学年高一上学期12月月考数学试卷(含答案)
《高中试卷》河北省保定市部分高中2025-2026学年高一上学期12月月考数学试卷(含答案) 第1张
《高中试卷》河北省保定市部分高中2025-2026学年高一上学期12月月考数学试卷(含答案) 第2张
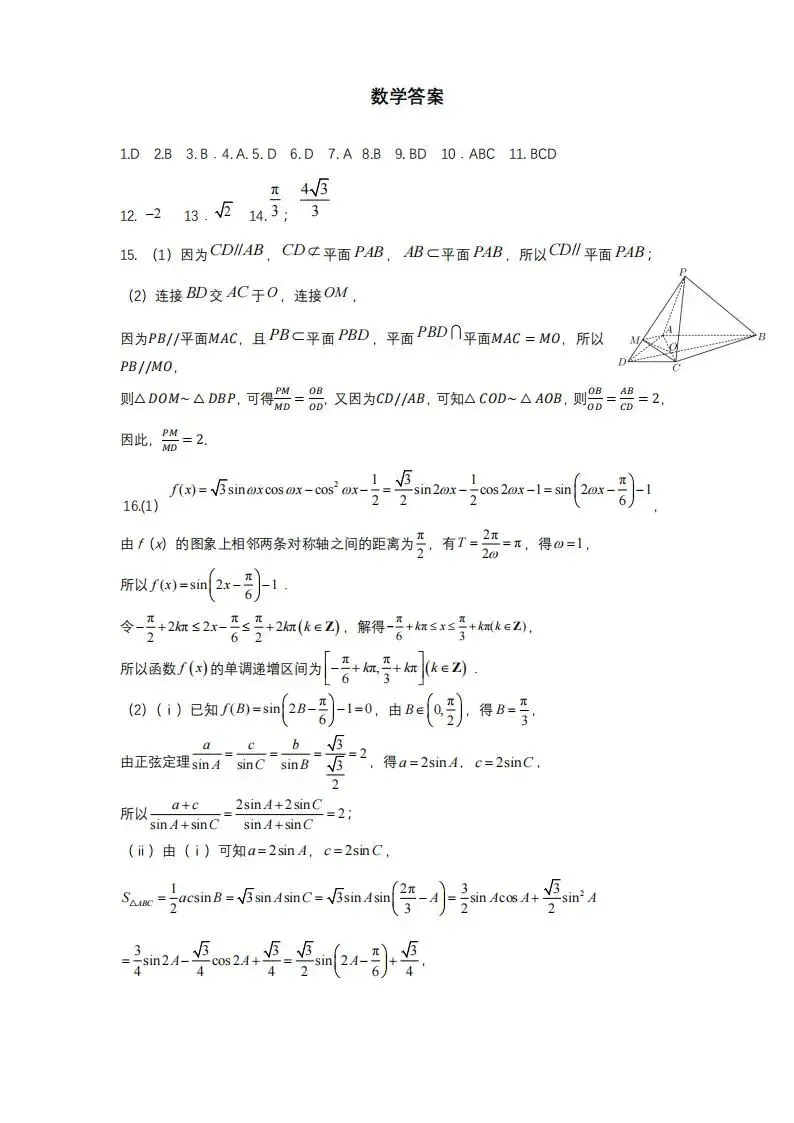
《高中试卷》河北省保定市部分高中2025-2026学年高一上学期12月月考数学试卷(含答案) 第3张
《高中试卷》河北省保定市部分高中2025-2026学年高一上学期12月月考数学试卷(含答案) 第4张
《高中试卷》河北省保定市部分高中2025-2026学年高一上学期12月月考数学试卷(含答案) 第5张
《高中试卷》河北省保定市部分高中2025-2026学年高一上学期12月月考数学试卷(含答案) 第6张
《高中试卷》河北省保定市部分高中2025-2026学年高一上学期12月月考数学试卷(含答案) 第7张
《高中试卷》河北省保定市部分高中2025-2026学年高一上学期12月月考数学试卷(含答案) 第8张
《高中试卷》河北省保定市部分高中2025-2026学年高一上学期12月月考数学试卷(含答案) 第9张
《高中试卷》河北省保定市部分高中2025-2026学年高一上学期12月月考数学试卷(含答案) 第10张

抱歉,评论功能暂时关闭!