中考模拟
2026年长沙雅礼集团一模试题









答案解析
难题解析
解:整理四位同学的表述,每位一真一假:
甲:①这个数比60小,②这个数是双数.
乙:①这个数比80大,②这个数是单数.
丙:①数字和为12,②加5后是11的倍数.
丁:①加9后是10的倍数,②加6后是7的倍数。
情况1:假设甲①真,甲②假,可得:这个数小于60,是单数.
因为数小于60,因此乙①为假,根据乙一真一假,得乙②真,符合这个数是单数,无矛盾。若丁①真,则这个数加9是10的倍数,可得这个数个位为1,则这个数可能为11,21,31,41,51;其数字和均不为12,且加5后也都不是11的倍数,故丙①②均为假,所以丁①是假,从而得丁②真,即这个数加6是7的倍数。
设这个数为x,则x=7k-6,x是小于60的两位数单数,
可得:k=3时,x=15,数字和1+5=6≠12;
k=5时,x=29,数字和2+9=11≠12;
k=7时,x=43,数字和4+3=7≠12;
k=9时,x=57,数字和5+7=12,符合丙①真,验证丙②:57+5=62,不是11的倍数,丙②假,满足一真一假,所有条件都符合。
情况2:假设甲①假,甲②真,可得:这个数大于等于60,是双数。
若乙①真,乙②假,可得:这个数大于80,是双数,若丁①真,则个位为1,是单数,矛盾,因此丁①假,丁②真,x+6为7的倍数,80<x<100,其中x为双数,得x=92,92数字和9+2=11≠12,92+5=97不是11的倍数,丙全假,矛盾。
若乙①假,乙②真,可得:这个数小于等于80,是单数,与“这个数是双数“”矛盾,情况2不成立。
综上,符合所有条件的两位数是57.










初中数学精品资料
七年级数学资料
八年级数学资料
九年级数学资料
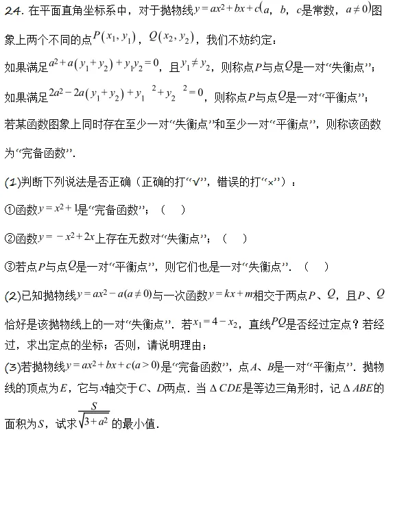
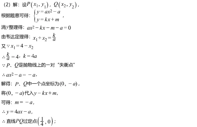
2026中考模拟
2025中考数学压轴题解析
更新中.........
2025中考真题
更新中.........
中考数学最值微课
更新中.........
中考数学知识拓展
更新中.......