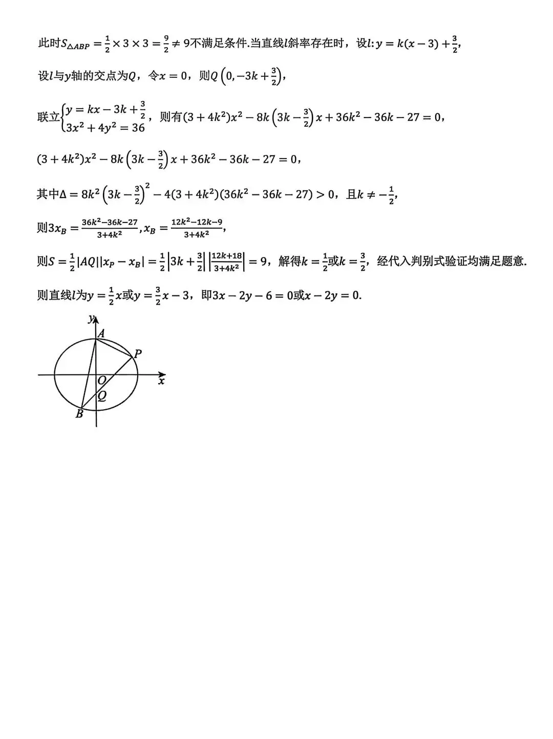
高考真题规范练(22) 四季读书网 2026-03-30 18:40:06 9 0 高考真题规范练(22)歌曲推荐:《没有一朵花》🌸 格雷西西西《没有一朵花 (一开始就是一朵花)》这首由王湘楠作词、李锡臣作曲,传递“成长需要时间”的治愈系歌曲。我们像种子在风中慢慢飘洒用时间把苦涩酿成甘露喝下在暴雨里抓紧土壤不松爪倔强地迎接每一个未知变化当岁月把青涩外壳层层剥下才听懂生命最喧哗却最沙哑原来所有绽放都是秘密积压是汗与泪在阳光里终于蒸发没有一朵花一开始就是一朵花它也需要承过霜压沐过雨打把枯寂养出鲜活的芽以盎然之姿盛大没有一朵花一开始就是一朵花没有一粒沙能决定自己的天涯就像没有人能一夜之间长大你就是你啊绽放吧 本文地址: https://sjds.net/606091.html 文章来源: 四季读书网 版权声明:本文内容由互联网用户自发贡献,该文观点仅代表作者本人。本站仅提供信息存储空间服务,不拥有所有权,不承担相关法律责任。如发现本站有涉嫌抄袭侵权/违法违规的内容, 请发送邮件至23467321@qq.com举报,一经查实,本站将立刻删除;如已特别标注为本站原创文章的,转载时请以链接形式注明文章出处,谢谢!