2026年高三年级第一次模拟考试试题数学及解析

四季读书网 11 0
2026年高三年级第一次模拟考试试题数学及解析
2026年高三年级第一次模拟考试试题数学及解析 第1张
2026年高三年级第一次模拟考试试题数学及解析 第2张
2026年高三年级第一次模拟考试试题数学及解析 第3张
2026年高三年级第一次模拟考试试题数学及解析 第4张
2026年高三年级第一次模拟考试试题数学及解析 第5张
2026年高三年级第一次模拟考试试题数学及解析 第6张
2026年高三年级第一次模拟考试试题数学及解析 第7张
2026年高三年级第一次模拟考试试题数学及解析 第8张
2026年高三年级第一次模拟考试试题数学及解析 第9张
2026年高三年级第一次模拟考试试题数学及解析 第10张
2026年高三年级第一次模拟考试试题数学及解析 第11张

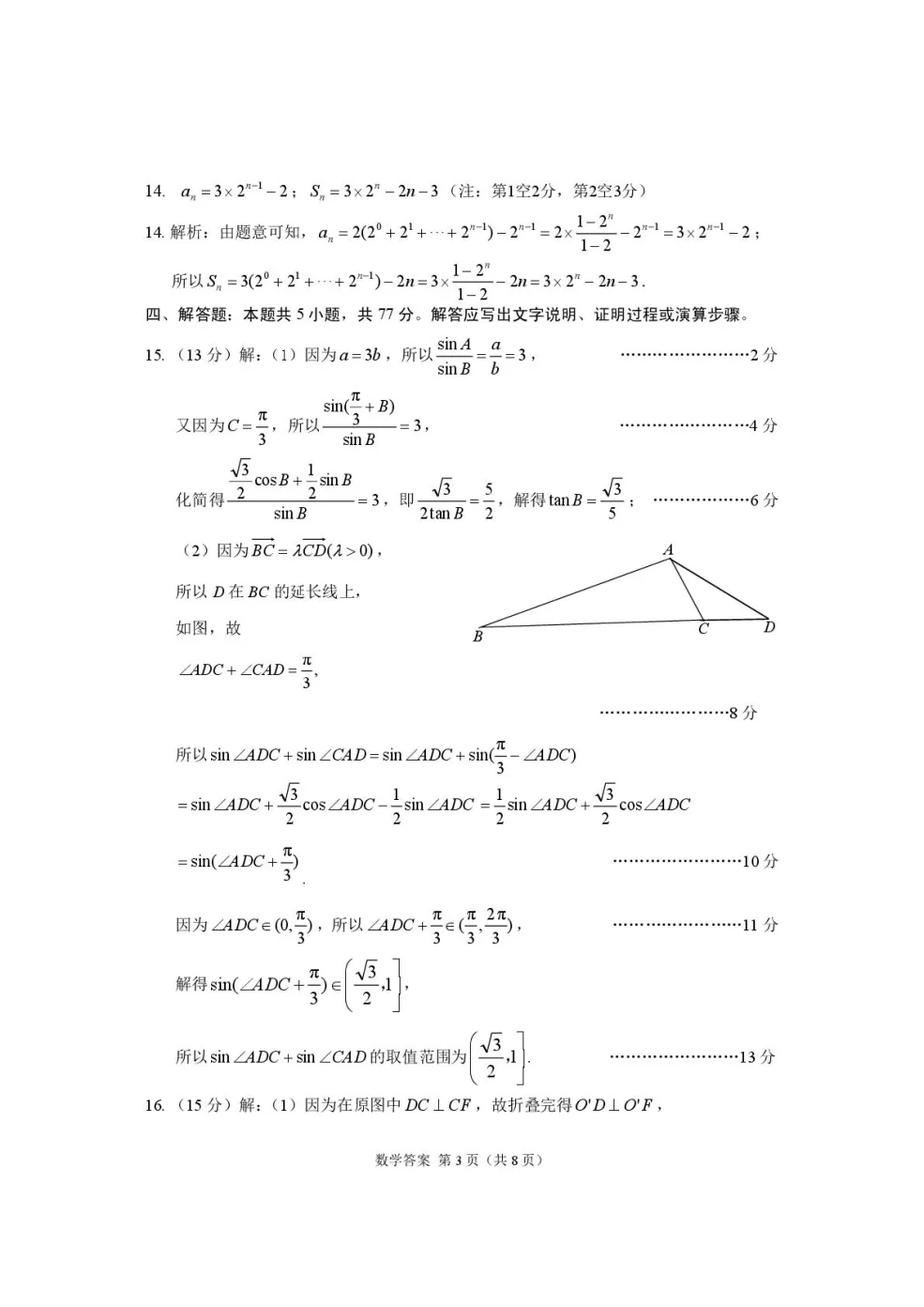
抱歉,评论功能暂时关闭!