点击蓝字 关注我们

ZHONGKAO MOFANG
为帮助考生更好地备战中考,我们以最新课程标准为依据,以现行初中教材为蓝本,遵循科学训练的教育理念,倾心打造了《新课程 新中考》系列图书。


本期,我们一起来复习整式与因式分解的内容。
整式与因式分解是初中数学的基础知识点,也是中考数学的必考点。中考一般会设置两三道题,以选择填空题形式考查因式分解和代数推理,以解答题形式考查整式化简求值,考题较为简单。此内容复习,我们主要需理解相关概念,熟练掌握整式运算的方法。
考点解读
考点一
代数式

考点二
整式及其运算





考点三
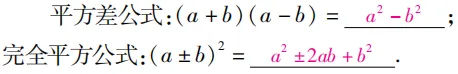
因式分解

真题典例
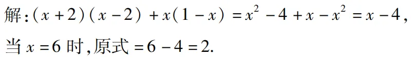
命题点一
因式分解及整式的运算

点击下方空白处查看解答
▼


点击下方空白处查看解答
▼

命题点二
代数推理(规律探索)

点击下方空白处查看解答
▼

举一反三

点击下方空白处查看解答
▼


点击下方空白处查看解答
▼


点击下方空白处查看解答
▼

更多内容见《新课程 新中考 数学》

更多中考品种,敬请关注↓↓↓
《新课程 新中考》系列是我社依据教育部制定的《义务教育课程标准(2022年版)》,根据当前江西省课程改革和评价改革的新要求及江西省近年中考命题规律等编写的初中学业水平考试复习辅导用书。内容从系统梳理到专题提升,从考点点拨到方法指导,不仅有近年中考题的精辟分析,更有近年中考命题趋势预估和2024年考题预测,系统全面地为中考考生保驾护航。
咨询电话:0791-88505535

END
往期推荐 ·
编 辑:万奕骞
校 对:熊 镇
审 核:曾子桐
核 发:吴晓峰
版权声明:本公众号转载的所有文章、图片等资料版权都归版权所有人所有,转载目的在于教师、家长、学生之间的学习交流。若涉及版权问题,请及时告知,我们会第一时间删除,谢谢。