
高考数学选择题在高考试卷中所占比例较大,具有题小、基础、快速、灵活的特征. 下面对高考数学高考选择题的解法作一些归纳,以期对同学们有所帮助.
一
解答选择题的基本策略
解答选择题的基本策略是“小题小做,不择手段”.
1.要充分挖掘各选择支的暗示作用;
2.要巧妙有效的排除迷惑支的干扰.
快速解答选择题要靠基础知识的熟练和思维方法的灵活以及科学、合理的巧解,应尽量避免小题大做.
二
选择题常用解题方法
由于高考数学选择题四个选项中有且只有一个结论正确,因而解选择题要沿着以下两个途径思考:一是否定3个结论;二是肯定一个结论.常用的方法有:直接法,筛选法(排除法),利用数学中的二级结论法,特例法 (特殊值,特殊图形,特殊位置,特殊函数,)是重点方法,还有数形结合法,验证法,估算法 ,特征分析法 ,极限法等,下面举例说明.
从题设条件出发,运用数学知识通过推理或计算得出结论,再对照各选项作出判断的方法称为直接法. 直接法的思路是肯定一个结论,是将选择题当作解答题求解的常规解法. 对一些为考查考生的逻辑推理能力和计算能力而设计编拟的定量型选择题常用直接法求解.
【评析】本题考查抛物线及向量的基本知识,解题的关键是将向量运算转化为坐标运算,再结合抛物线的性质将点到焦点的距离转化为点到准线的距离.
当题目题设条件未知量较多或关系较复杂,不易从正面突破,但根据一些性质易从反面判断某些答案是错误的时候,可用筛选法排除不正确的选项,得到正确答案. 筛选法思路是否定三个结论,有些问题在仔细审视之后,凭直觉可迅速作出筛选.
【评析】若用直接法求解则耗时费力,而用筛选法则是明智的选择.
【评析】通过数学中的一些重要结论,或者数学内容的重要特征,可以避免繁杂的运算.
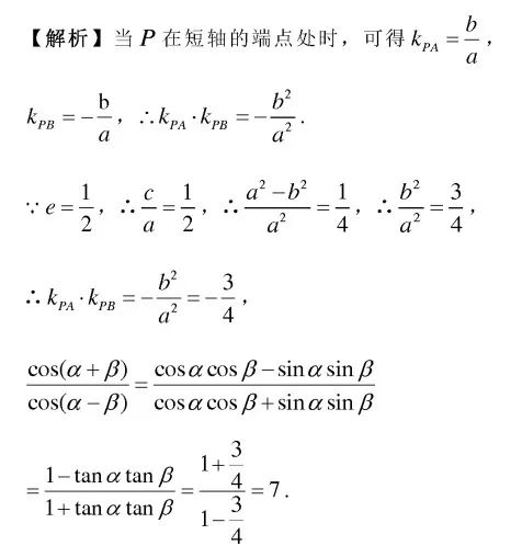
有些选择题涉及的数学问题具有一般性,而提供的选择支往往互相矛盾(即任意两个选择支不能同时成立),这类选择题要严格推证比较困难,此时不妨从一般性问题退到特殊性问题上来,通过取适合条件的特殊值、特殊图形、特殊位置等进行分析,往往能简缩思维过程、降低难度而迅速得解.
【评析】若直接求解则繁琐且易错,而通过特值法则能迅速作出判断,对考生的直觉思维能力和策略创造能力是一个很好的检测.
对于一些具有几何背景的数学问题,如能构造出与之相应的图形进行分析,往往能在数形结合、以形助数中获得形象直观的解法.
将题目所提供的各选择支或特值逐一代入题干中进行验证,从而确定正确的答案. 有时可通过初步分析,判断某个(或某几个)选项正确的可能性较大,再代入检验,可节省时间.
由于选择题提供了唯一正确的选择支,解答又无需过程.因此可以猜测、合情推理、估算而获得.这样往往可以减少运算量,当然自然加强了思维的层次.
【评析】估算,省去了很多推导过程和比较复杂的计算,节省了时间,从而显得快捷.其应用广泛,它是人们发现问题、研究问题、解决问题的一种重要的运算方法.
通过对题干和选择支的关系进行分析,挖掘出题目中的各种特征,如结构特征、数字特征、取值范围特征、图形特征、对称性特征、整体特征等,从而发现规律,快速辨别真伪.
极限思想是一种基本而重要的数学思想. 当一个变量无限接近一个定量,则变量可看作此定量. 对于某些选择题,若能恰当运用极限思想思考,则往往可使过程简单明快.
【评析】应用运动变化的观点,灵活地用极限思想来思考,避免了复杂的运算,优化了解题过程,降低了解题难度.
解答选择题要小题小做,快速准确作答,在解题过程中可以多种方法联合使用.以提高解答选择的速度和准确率.































