【中考模拟】2026年4月29日石家庄市中考一模数学卷(含答案)

四季读书网 1 0
【中考模拟】2026年4月29日石家庄市中考一模数学卷(含答案)
2026年河北中考4月份模拟试卷汇总,文末下载
【中考模拟】2026年4月29日石家庄市中考一模数学卷(含答案) 第1张
【中考模拟】2026年4月29日石家庄市中考一模数学卷(含答案) 第2张
【中考模拟】2026年4月29日石家庄市中考一模数学卷(含答案) 第3张
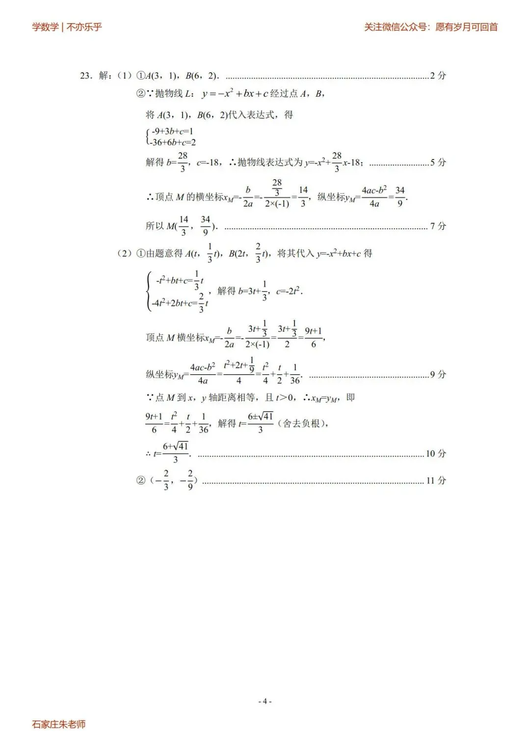
【中考模拟】2026年4月29日石家庄市中考一模数学卷(含答案) 第4张
【中考模拟】2026年4月29日石家庄市中考一模数学卷(含答案) 第5张
【中考模拟】2026年4月29日石家庄市中考一模数学卷(含答案) 第6张
【中考模拟】2026年4月29日石家庄市中考一模数学卷(含答案) 第7张
【中考模拟】2026年4月29日石家庄市中考一模数学卷(含答案) 第8张
【中考模拟】2026年4月29日石家庄市中考一模数学卷(含答案) 第9张
【中考模拟】2026年4月29日石家庄市中考一模数学卷(含答案) 第10张
【中考模拟】2026年4月29日石家庄市中考一模数学卷(含答案) 第11张
【中考模拟】2026年4月29日石家庄市中考一模数学卷(含答案) 第12张
【中考模拟】2026年4月29日石家庄市中考一模数学卷(含答案) 第13张
【中考模拟】2026年4月29日石家庄市中考一模数学卷(含答案) 第14张
电子版试卷,微信扫码下载

上一个南京初一期中考试|试卷答案及整体评析!

下一个当前已是最新一个了

抱歉,评论功能暂时关闭!