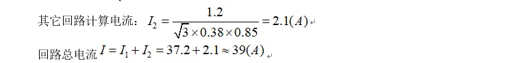
注册电气工程师真题供配电24上4 四季读书网 2026-04-29 07:24:09 7 0 注册电气工程师真题供配电24上4本题坑点1.负荷计算的模型有很多款,比如利用系数法、需要系数法、冶炼周期法、综合利用系数法,50055的电梯法等,各种方法模型要选对——本题采用的是50055的电梯法2.单相负荷平均分配在三相时,和三相负荷无区别 本文地址: https://sjds.net/664354.html 文章来源: 四季读书网 版权声明:本文内容由互联网用户自发贡献,该文观点仅代表作者本人。本站仅提供信息存储空间服务,不拥有所有权,不承担相关法律责任。如发现本站有涉嫌抄袭侵权/违法违规的内容, 请发送邮件至23467321@qq.com举报,一经查实,本站将立刻删除;如已特别标注为本站原创文章的,转载时请以链接形式注明文章出处,谢谢!