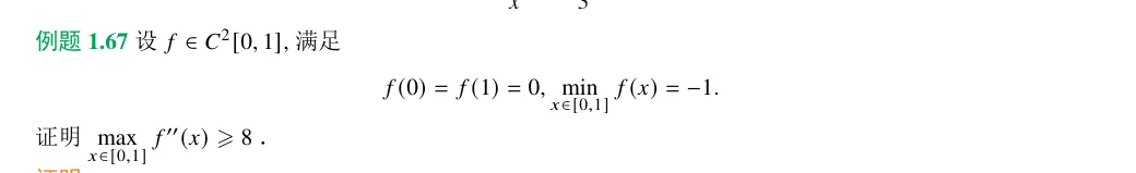
📚题目

🔍分析
❝我们今天带来一道灰常简单的考研数学真题,并且用三个方法来教会大家如何秒杀此题!
🧠解答





于是我们完成了证明,怎么样是不是很简单呢!✨
01.

非数学类首发半价优惠,只需800+全年(持续到26年底)课程带回家!
过时恢复原价1636!课时190+考研竞赛全覆盖!
报名链接见文末
1

课程介绍


全新课程


让大家期待已久的、由鱼哥和清疏数学联合制作的全国大学生考研&竞赛课程他终于来啦!为什么要选择清疏数学?

2

师资力量

强强联合
🎓北大纯数博雅博士后+ 非数学考研数学大神联合制作!

3

课程亮点

课程亮点
🔄 全新改革:本届课程区别往届进行大刀阔斧的改革,非数学类与数学类完全独立,非数学讲义完全单独成册并全部重写!
📚 内容升级:加大考研数学内容的比重!提供完整版官方竞赛红书课后题答案PDF,LaTeX排版!支持超链接跳转!
🗣 讲解贴心:由 鱼哥亲自操刀讲解,做到真正的 零基础与拔高冲刺并重,零基础也能 听得懂!学得会!用得出!让课程与所有人都适配!
🗂 答疑体系:全面全年全天0基础分群细致双讲师(鱼哥 & 清疏)答疑,考研竞赛全面覆盖。
🎯 精准定位:我们为 非数学类学生量身打造 一个紧紧围绕 考研数学和大学生数学竞赛、绝不包含不正规、无意义内容的课程,一个 专注应试、适合理工科学生、插班生、文科生、专科生用来 提升自身数学素养 的课程!
🚀轻松上手:为了更好的让学生在明年融入我们课程,我们特此在正课之前录制高中数学到大学数学衔接。
💖特别关照:我们将对基础薄弱的同学更加用心对待,提供全方位的学习支持,让学生不再担心0基础跟不上的问题,确保每位同学都能稳步提升,学有所成.
💰超级实惠:应该没有比我们便宜+同样时间长度带全面答疑的课程了!






这是课程报名链接与笔者免费的答疑交流群喔


你渴望力量吗?

扫码|关注我们吧!
微信公众号|大鱼考研竞赛数学
分享考研竞赛干货|让你少走弯路~

END