中考数学研题:数论类阅读材料

四季读书网 6 0
中考数学研题:数论类阅读材料
今天我们来看一道填空压轴题,有一点数论的影子。
试题呈现
中考数学研题:数论类阅读材料 第1张
    这是某直属校的一次考试题,第2空的难度较大,但是我们可以通过这一个题的研究和分析,得到绝大部分此类试题的一个通法。据说今年的zk此题的难度会有所上升,那相比较25年中考真题,该直属校的这道题已经上升了不少难度,具有参考价值。
解题过程
1.提炼简明的数学语言:
中考数学研题:数论类阅读材料 第2张
2.确定等量关系和其它限制条件:
中考数学研题:数论类阅读材料 第3张
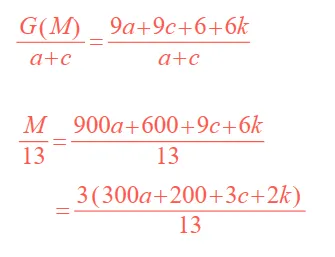
3.消元:
将第2步中的等量关系进行整合,并分别带入G(M)和M中,得:
中考数学研题:数论类阅读材料 第4张
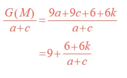
4.分离常数:
分子分母控制变量,尽可能使分子减少变量:
中考数学研题:数论类阅读材料 第5张
5.整除同余:
    被一个数整除,可以分成几部分来分别被整除,这样其中一部分是直接看得见的,一部分则是通过被整除的限制得到新的关系的。
中考数学研题:数论类阅读材料 第6张
6.确定范围:
中考数学研题:数论类阅读材料 第7张

这里注意:a+c的取值应与k的取值一一对应.

7.分类列举:

由于a+c的取值与k的取值一一对应,说明本题分类列举时可以看作是二维的,相比较于平常的一维的讨论更复杂,故,可以借助列表进行完成,以便清晰的观察特点,也减少遗漏的情况

中考数学研题:数论类阅读材料 第8张
    通过列表列举后,只需要判断结果(如:2c+9)是否能被13整除即可。每一行每一列都能发现它的规律,这样列举起来就会轻松许多,不至于被这么繁多的可能给下愣住。
    小结,解决这一类试题的一般方法如上述的1-7步即可,在特殊的条件背景下亦有其它的便捷之路可以选择。如果用一句口诀来帮助我们理解记忆它的解题方法的话,我想可以是这个:大变小,多变少,维度较多宜列表。而实际上结合口诀和前面的步骤,你可以进一步的感受,解决此题的最大原则就是:化繁为简,由简入繁
如果你觉得分享的内容对你有帮助,请你为我点亮小红心。
关注我,每天研透一道中考题。
往期回顾:

中考数学研题:菱形与圆01

中考数学研题:圆与平行四边形01

中考数学研题:二次函数与角度问题01

中考数学研题:二次函数与角度问题02

中考数学研题:二次函数与角度问题03

中考数学研题:几何压轴01

中考数学研题:代数类规律探索01

抱歉,评论功能暂时关闭!