2026年郑州市高三二模数学试卷及答案

四季读书网 3 0
2026年郑州市高三二模数学试卷及答案
2026年郑州市高三二模数学试卷及答案 第1张好久没有更新。
一、上周孩的作业特别多,每天到11点了还在写,我就催着他停了去洗漱。复盘一下为什么作业突然多了,因为最近考试特别多,小四门的作业就多了起来。还有初中的数物要刷卷,实际上也没刷几张,只要不是正式布置下来,好大儿就是一个宗旨:可以不写的都不写。
二、昨天上午考了生物和地理的一模,地理好像还没有学完。也没刷题,还好这两科和中招没有关系。卷纸拿到了,但是只有生物的答案,地理的还没见到。
三、期中考,拖到了下个月中旬。
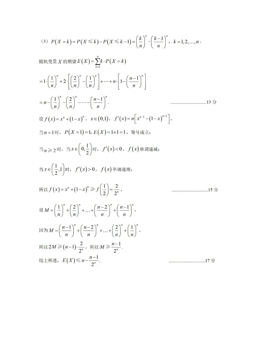
四、今天老师让做了这个卷。孩说17题没做,18(3)没做。整个2模的数学卷纸没有简单的题目。O(∩_∩)O哈哈~他不懂二模是用来干啥的。二模就是用来打击孩子的,让孩子们别嘚瑟,静下心来学习。我高三那年,在二模里语文好像没考及格,一下子就老实到了高考。对于他们这帮孩子来讲,就是老师把近一年的学习成果检验一下。
五、试卷奉上,答案奉上,下载页面奉上,还是存在移动云盘里。
2026年郑州市高三二模数学试卷及答案 第2张
2026年郑州市高三二模数学试卷及答案 第3张
2026年郑州市高三二模数学试卷及答案 第4张
2026年郑州市高三二模数学试卷及答案 第5张
2026年郑州市高三二模数学试卷及答案 第6张
2026年郑州市高三二模数学试卷及答案 第7张

答案
2026年郑州市高三二模数学试卷及答案 第8张
2026年郑州市高三二模数学试卷及答案 第9张
2026年郑州市高三二模数学试卷及答案 第10张
2026年郑州市高三二模数学试卷及答案 第11张
2026年郑州市高三二模数学试卷及答案 第12张
2026年郑州市高三二模数学试卷及答案 第13张

文件下载:
2026年郑州市高三二模数学试卷及答案 第14张

抱歉,评论功能暂时关闭!