
湖北升学通4月28日消息:武汉高三四调4月27日-29日进行,今天进行了物理、历史、英语的考试,自从昨天考完以后,许多同学反映语文考完以后回到班里大家都开始不约而同地红温哀嚎,数学也有同学说小题小难度,大题大难度,纷纷表示破防了,最后不到40天的时间竟然有点不知所措了!
你认为本次武汉四调试卷如何呢~
更多考试相关内容欢迎扫码进群获取:

本次考试为武汉市教科院供题,考试结束后会再次由专家对本次考试答案进行审核,各科考完半天至一天才会公布答案,答案公布后湖北升学通将第一时间更新至下文链接内。
物理/历史
因篇幅原因,此处仅展示部分,完整电子版见下文







英语
因篇幅原因,此处仅展示部分,完整电子版见下文



语文试卷及答案
因篇幅原因,此处仅展示部分,完整电子版见下文



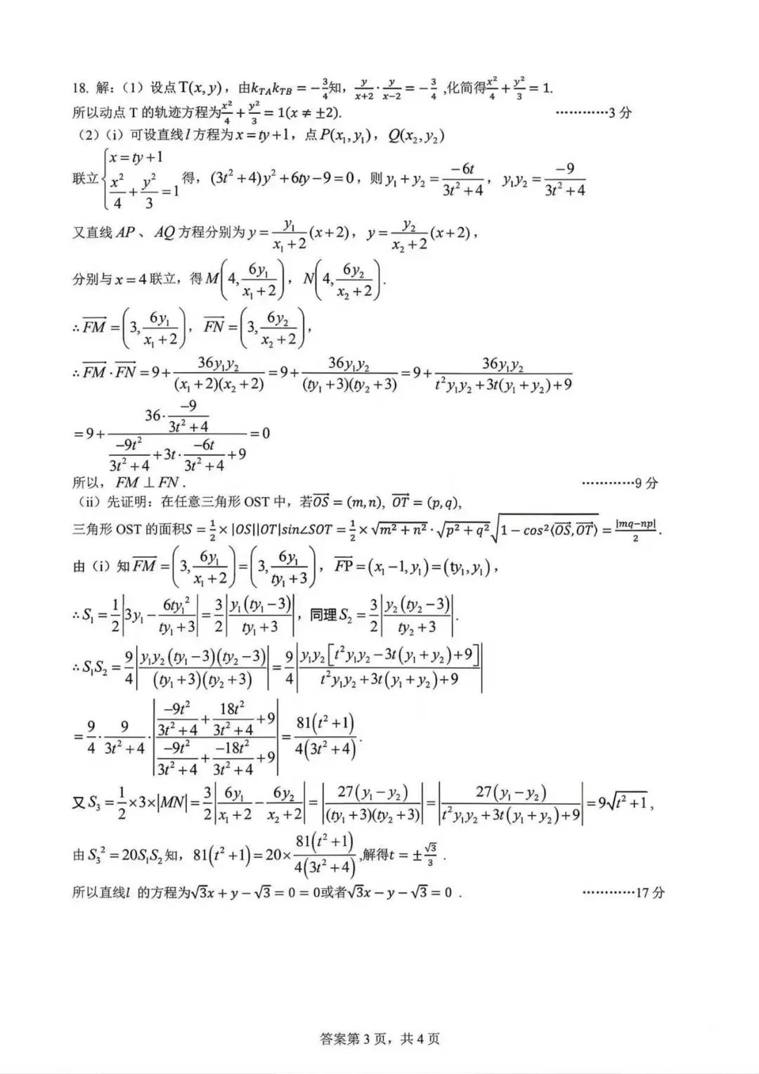
数学试卷及答案
因篇幅原因,此处仅展示部分,完整电子版见下文





⚠️真心建议高三家长提前自查对照体检报告:

不要等志愿填报、被退档才后悔细节才是高考上岸的关键❗️
2026届湖北省武汉市4月调考试卷内容见下方链接,扫码进群获取最新消息:

试卷及答案免费下载
1.在湖北升学通公众号内回复关键词“260427”即可免费获取试卷。
2.如下图所示:

3.点击链接自行下载试卷。

试卷及答案免费下载
1.在湖北升学通公众号内回复关键词“260427”即可免费获取试卷。
2.如下图所示:

3.点击链接自行下载试卷。

试卷及答案免费下载
1.在湖北升学通公众号内回复关键词“260427”即可免费获取试卷。
2.如下图所示:

3.点击链接自行下载试卷。
试卷及答案免费下载
1.在湖北升学通公众号内回复关键词“260427”即可免费获取试卷。
2.如下图所示:

3.点击链接自行下载试卷。
试卷及答案免费下载
1.在湖北升学通公众号内回复关键词“260427”即可免费获取试卷。
2.如下图所示:

3.点击链接自行下载试卷。
育路通持续高考服务二十余年,积累了丰富的渠道和专业优势。我们的一对一志愿填报是全流程服务,绝非简单的方案交付,会根据考生家庭需求提供全流程服务,包括入学后的大学生活规划、继续深造等。
育路通一对一志愿填报服务汇聚政策研究专家、招生专家、一线招办老师、专业升学规划师为荆楚考生家庭提供定制化、个性化志愿填报方案,助力考生用好每一分上更好大学。




左右滑动查看更多

左右滑动查看更多
左右滑动查看更多

育路通升学服务热线:
公司地址:中国湖北省武汉市洪山区徐东大街7号凯旋门广场B座F17层
育路通二十余年专注高考服务,为湖北考生提供全流程一对一志愿规划(含大学与深造指导),汇聚政策、招生、招办专家,为湖北考生定制方案,助力分尽其用。

一对一志愿填报 添加回复“志愿填报” 专业老师一对一辅导!
助力高考志愿不踩坑!
往期推荐 RECOMMEND 
本科线物理388.5分,历史431.5分!湖北一地4月考划线公布! 5月冲刺关键期:考试安排、政策发布、志愿准备全攻略,湖北考生必看! 湖北省内院校分专业分数线合集(持续更新,报考必看)
育路通持续高考服务二十余年,积累了丰富的渠道和专业优势。我们的一对一志愿填报是全流程服务,绝非简单的方案交付,会根据考生家庭需求提供全流程服务,包括入学后的大学生活规划、继续深造等。
育路通一对一志愿填报服务汇聚政策研究专家、招生专家、一线招办老师、专业升学规划师为荆楚考生家庭提供定制化、个性化志愿填报方案,助力考生用好每一分上更好大学。




左右滑动查看更多

左右滑动查看更多
左右滑动查看更多

育路通升学服务热线:
公司地址:中国湖北省武汉市洪山区徐东大街7号凯旋门广场B座F17层
育路通二十余年专注高考服务,为湖北考生提供全流程一对一志愿规划(含大学与深造指导),汇聚政策、招生、招办专家,为湖北考生定制方案,助力分尽其用。

一对一志愿填报 添加回复“志愿填报” 专业老师一对一辅导!
助力高考志愿不踩坑!
往期推荐 RECOMMEND 
本科线物理388.5分,历史431.5分!湖北一地4月考划线公布! 5月冲刺关键期:考试安排、政策发布、志愿准备全攻略,湖北考生必看! 湖北省内院校分专业分数线合集(持续更新,报考必看)
育路通持续高考服务二十余年,积累了丰富的渠道和专业优势。我们的一对一志愿填报是全流程服务,绝非简单的方案交付,会根据考生家庭需求提供全流程服务,包括入学后的大学生活规划、继续深造等。
育路通一对一志愿填报服务汇聚政策研究专家、招生专家、一线招办老师、专业升学规划师为荆楚考生家庭提供定制化、个性化志愿填报方案,助力考生用好每一分上更好大学。




左右滑动查看更多

左右滑动查看更多
左右滑动查看更多

育路通升学服务热线:
公司地址:中国湖北省武汉市洪山区徐东大街7号凯旋门广场B座F17层
育路通二十余年专注高考服务,为湖北考生提供全流程一对一志愿规划(含大学与深造指导),汇聚政策、招生、招办专家,为湖北考生定制方案,助力分尽其用。

一对一志愿填报 添加回复“志愿填报” 专业老师一对一辅导!
助力高考志愿不踩坑!
育路通持续高考服务二十余年,积累了丰富的渠道和专业优势。我们的一对一志愿填报是全流程服务,绝非简单的方案交付,会根据考生家庭需求提供全流程服务,包括入学后的大学生活规划、继续深造等。
育路通一对一志愿填报服务汇聚政策研究专家、招生专家、一线招办老师、专业升学规划师为荆楚考生家庭提供定制化、个性化志愿填报方案,助力考生用好每一分上更好大学。




左右滑动查看更多

左右滑动查看更多
左右滑动查看更多

育路通升学服务热线:
公司地址:中国湖北省武汉市洪山区徐东大街7号凯旋门广场B座F17层
育路通升学服务热线:
公司地址:中国湖北省武汉市洪山区徐东大街7号凯旋门广场B座F17层
育路通升学服务热线:
公司地址:中国湖北省武汉市洪山区徐东大街7号凯旋门广场B座F17层
公司地址:中国湖北省武汉市洪山区徐东大街7号凯旋门广场B座F17层
公司地址:中国湖北省武汉市洪山区徐东大街7号凯旋门广场B座F17层
公司地址:中国湖北省武汉市洪山区徐东大街7号凯旋门广场B座F17层
育路通二十余年专注高考服务,为湖北考生提供全流程一对一志愿规划(含大学与深造指导),汇聚政策、招生、招办专家,为湖北考生定制方案,助力分尽其用。

专业老师一对一辅导!
助力高考志愿不踩坑!

