2026届苏州市实验中学等六校高三二模考前模拟数学试卷解析

四季读书网 5 0
2026届苏州市实验中学等六校高三二模考前模拟数学试卷解析
江苏省的高三下学期模拟考历来很少很珍贵,苏锡常镇一张卷子,苏北七市一张卷子,南京盐城一张卷子,量太少了,这样一来,同学们平时只能找联考卷来训练了。由于各省情况不一样,郝老师建议优先做江苏的联考卷。最近这份刚考完的《2026届苏州市实验中学等六校高三二模考前模拟数学试卷》,有难度,但是没有偏题和怪题,符合高考风格,建议同学们抽空做做看。
2026届苏州市实验中学等六校高三二模考前模拟数学试卷解析 第1张
2026届苏州市实验中学等六校高三二模考前模拟数学试卷解析 第2张
2026届苏州市实验中学等六校高三二模考前模拟数学试卷解析 第3张
2026届苏州市实验中学等六校高三二模考前模拟数学试卷解析 第4张
2026届苏州市实验中学等六校高三二模考前模拟数学试卷解析 第5张
2026届苏州市实验中学等六校高三二模考前模拟数学试卷解析 第6张
2026届苏州市实验中学等六校高三二模考前模拟数学试卷解析 第7张
2026届苏州市实验中学等六校高三二模考前模拟数学试卷解析 第8张
2026届苏州市实验中学等六校高三二模考前模拟数学试卷解析 第9张
2026届苏州市实验中学等六校高三二模考前模拟数学试卷解析 第10张
2026届苏州市实验中学等六校高三二模考前模拟数学试卷解析 第11张
2026届苏州市实验中学等六校高三二模考前模拟数学试卷解析 第12张
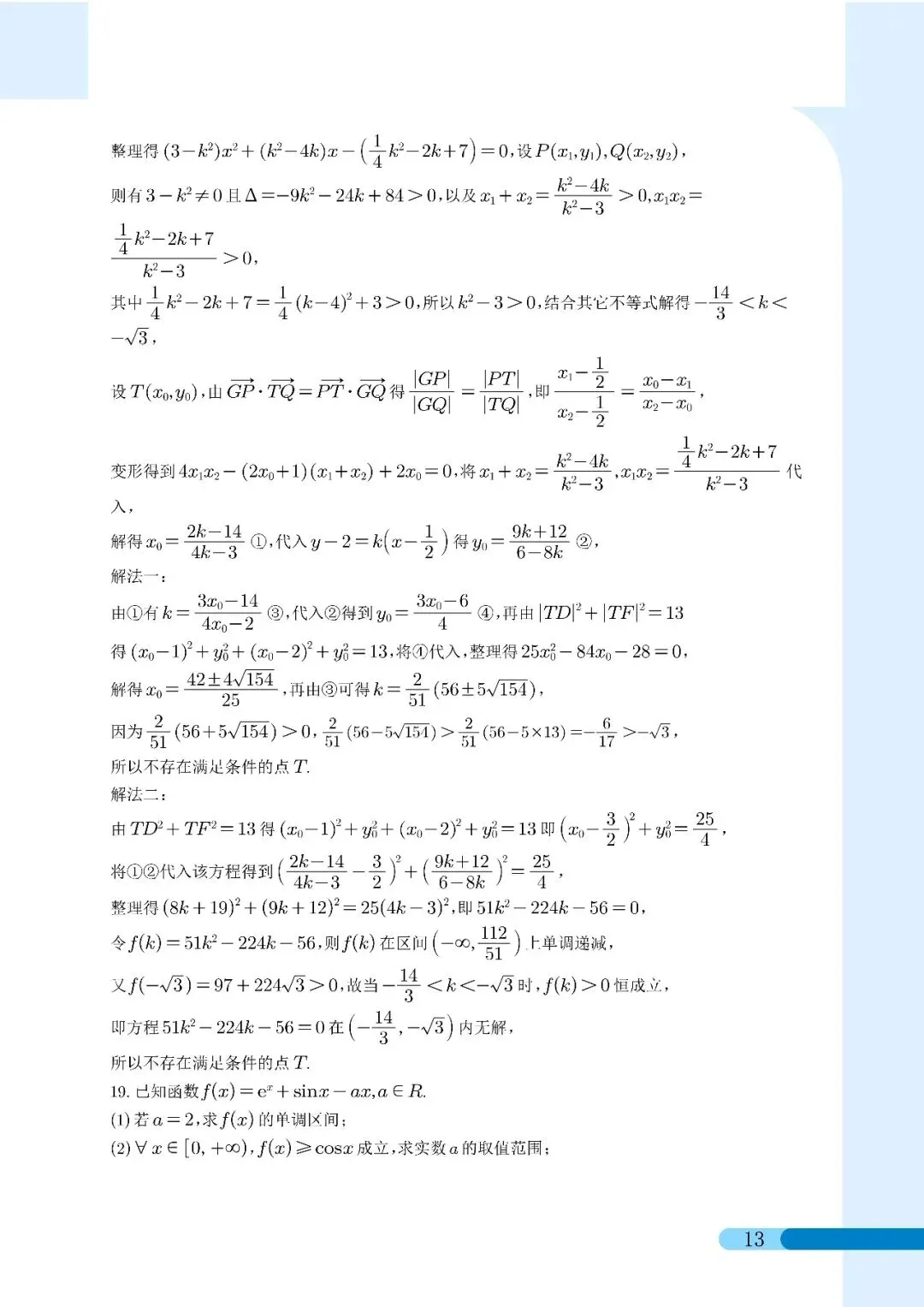
2026届苏州市实验中学等六校高三二模考前模拟数学试卷解析 第13张
2026届苏州市实验中学等六校高三二模考前模拟数学试卷解析 第14张
2026届苏州市实验中学等六校高三二模考前模拟数学试卷解析 第15张

抱歉,评论功能暂时关闭!