邯郸市初中学业水平考试数学试卷(市一模)含答案

四季读书网 4 0
邯郸市初中学业水平考试数学试卷(市一模)含答案
邯郸市初中学业水平考试数学试卷(市一模)含答案 第1张
邯郸市初中学业水平考试数学试卷(市一模)含答案 第2张
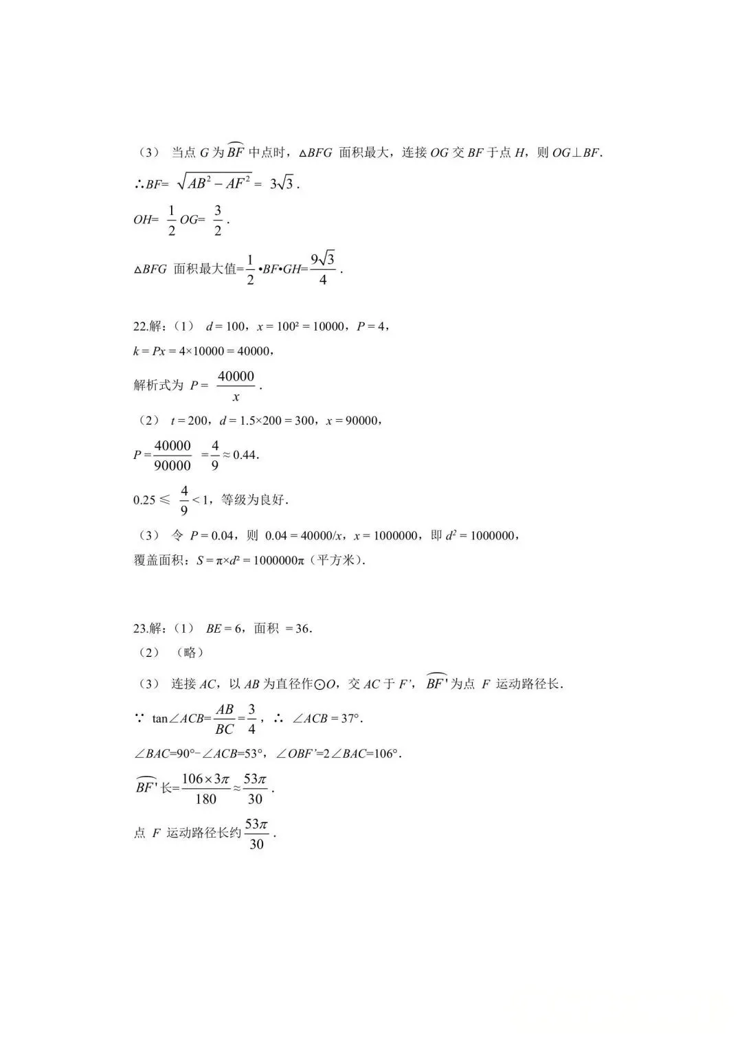
邯郸市初中学业水平考试数学试卷(市一模)含答案 第3张
邯郸市初中学业水平考试数学试卷(市一模)含答案 第4张
邯郸市初中学业水平考试数学试卷(市一模)含答案 第5张
邯郸市初中学业水平考试数学试卷(市一模)含答案 第6张
邯郸市初中学业水平考试数学试卷(市一模)含答案 第7张
邯郸市初中学业水平考试数学试卷(市一模)含答案 第8张
邯郸市初中学业水平考试数学试卷(市一模)含答案 第9张
邯郸市初中学业水平考试数学试卷(市一模)含答案 第10张
邯郸市初中学业水平考试数学试卷(市一模)含答案 第11张
邯郸市初中学业水平考试数学试卷(市一模)含答案 第12张

抱歉,评论功能暂时关闭!