2026武汉四调数学试卷评析

四季读书网 5 0
2026武汉四调数学试卷评析
武汉四调的数学科目在27号的下午考完,总体来讲,在武汉的调考题中,这次考试是相对偏简单的。也希望通过这次考试给高三的同学们以面对高考的信心。下面我们对这张卷子做一个比较简单的分析。
2026武汉四调数学试卷评析 第1张
2026武汉四调数学试卷评析 第2张
单选前6道都是常规题,属于读完题就知道该咋做的,仔细可保万无一失.
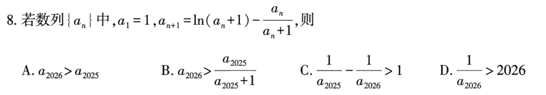
2026武汉四调数学试卷评析 第3张
第7题本身并不难,只要把题意理解清楚就好.这题有很明显的模仿2023年新高考二卷第19题“误诊率”和“漏诊率”的痕迹.解个一元一次方程就行.
2026武汉四调数学试卷评析 第4张
这道应该算是整张试卷最难的一道,浙江卷的风格.难点在于对ln(an+1)的处理.利用切线不等式可知所有的项在(0,1]之间,且递减,排除AC;对BD选项,要构造合适的函数研究单调性,在这里要有目标意识,令f(x)=ln(x+1)-2x/(x+1),可知f(x)在(0,1]单减,B错,取倒数再累加可知D正确.
2026武汉四调数学试卷评析 第5张
11题很容易知道C是由四个双曲线组成,且实轴长,离心率都相等.AB对,C错(过某交点);D选项左边是内切圆面积,右边是由交点组成的正八边形的面积,任意联立求出一组坐标即可.
2026武汉四调数学试卷评析 第6张
14题说实话有点对不起这个位置了.画了图直接就出来了,θ对边就是BC,邻边PB最长的时候,也就是PC是三角形PAB外接圆直径的时候,一个正弦定理就结束了.
2026武汉四调数学试卷评析 第7张
17题导数题第一问送,第二问隐零点问题.作代换时要“迂回”一下,先求x_0的范围,再求a的范围(值域).属于常规题型.
2026武汉四调数学试卷评析 第8张
18题计算量稍大.第一问一定要把x轴的交点去掉,这是求轨迹方程必须要检查的.第二问第一小问正常计算就行,第二小问,参考答案还证明一个三角形面积的坐标公式,属实没必要了,其实S1,S2都以AF为底,高就是M和P,N和Q的纵坐标之差,完全可以化简.
2026武汉四调数学试卷评析 第9张
19题,第一问正常计算概率(注意对称性).第二问帽子戏法,只要用期望加法就直接能算.第三问先讨论D=0,其他情况也可以利用对称性简化计算,后面是一个数列求和问题.
总评:除了第8题如果没专门练过可能做得比较不顺手之外,其他的题目应该说是都比较好下手的.这次考试学生应该会做得比较舒服.不论什么题目,不能被冗长的题干吓到,一字一句分析,找突破口,列式子,总能拿到你应得的分数.

抱歉,评论功能暂时关闭!