来对答案!2026成都三诊数学试卷+答案解析已公布

四季读书网 5 0
来对答案!2026成都三诊数学试卷+答案解析已公布
来对答案!2026成都三诊数学试卷+答案解析已公布 第1张
来对答案!2026成都三诊数学试卷+答案解析已公布 第2张
来对答案!2026成都三诊数学试卷+答案解析已公布 第3张
来对答案!2026成都三诊数学试卷+答案解析已公布 第4张
来对答案!2026成都三诊数学试卷+答案解析已公布 第5张
成都三诊数学答案【仅供参考】
1-8:CBBC CDAC
9:ABD 10:ACD 11:ABD
12题2
13题16π
14题454
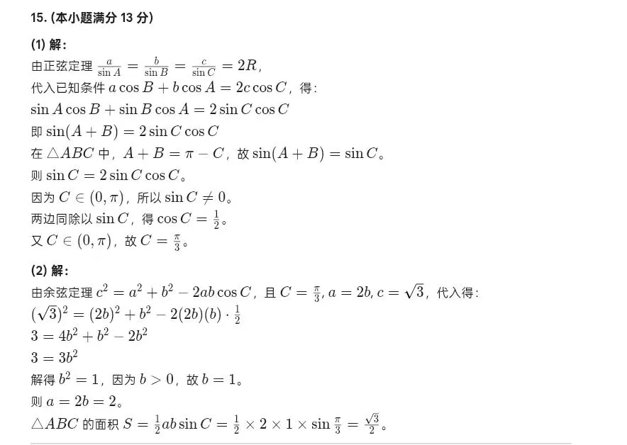
来对答案!2026成都三诊数学试卷+答案解析已公布 第6张
来对答案!2026成都三诊数学试卷+答案解析已公布 第7张
来对答案!2026成都三诊数学试卷+答案解析已公布 第8张
来对答案!2026成都三诊数学试卷+答案解析已公布 第9张
来对答案!2026成都三诊数学试卷+答案解析已公布 第10张
来对答案!2026成都三诊数学试卷+答案解析已公布 第11张

抱歉,评论功能暂时关闭!