厦门小升初:外国语小初衔接活动测试真题分享

四季读书网 6 0
厦门小升初:外国语小初衔接活动测试真题分享
今天跟大家分享一下,这几周厦门外国语初小衔接活动中,开展的质量监测真题汇总。
从测试的情况看,主要分成两个部分:
一是英语部分,很明显,这次活动与5月份将要开始的提前批招生,息息相关。英语部分的测试难度,已经达到高一高二的日常阅读理解水平。家长有心准备的话,对于厦外和二中的提前批备考方面,单词肯定是要提前背一些的。
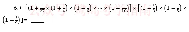
二是数学部分,也很明显,厦外冲着文理兼优的学生去的,数学题目的难度集中在六年级到初一的水平,有加深学的孩子相对容易,像分数连乘、阶乘变形、相遇追及、初一几何、行程问题、繁分数化简等,几乎都是小学阶段和初一的内容。
当然,有家长说这些都是奥数,这样说也没错,小初高的数学本身就那些内容,但核心是需要孩子在小学阶段的内容有扩展有加深,也有适当的提前学。
从一些参与活动的家长反馈的情况来看,今年厦外多语种和二中英语实验班的招生,整体的形式不会受到太大影响,政策虽然有变化,但是整体各个学校的提前批招生,和2025年差不多。
家长们当下最应当做的,仍然是两个动作:
一是选好学校。对照自家孩子的户籍所在地、学籍所在片区,筛选出符合条件的批次,关注好报名时间节点,及时报名。记住要秉弃“既要又要”的心态,往往想得多的家长最后一个都没有。
厦门小升初:外国语小初衔接活动测试真题分享 第1张
二是备好考试。从2025年的情况看,只有二中和厦门在招生过程中有了相应测试。今年应当还是,只不过形式可能会变,但内容应该变化不大。特别是参加了这次衔接活动的家长。
部分题目还原如下,感谢一些家长的热心反馈,在此公益分享:
厦门小升初:外国语小初衔接活动测试真题分享 第2张
厦门小升初:外国语小初衔接活动测试真题分享 第3张
厦门小升初:外国语小初衔接活动测试真题分享 第4张
厦门小升初:外国语小初衔接活动测试真题分享 第5张
厦门小升初:外国语小初衔接活动测试真题分享 第6张
厦门小升初:外国语小初衔接活动测试真题分享 第7张
厦门小升初:外国语小初衔接活动测试真题分享 第8张
厦门小升初:外国语小初衔接活动测试真题分享 第9张
厦门小升初:外国语小初衔接活动测试真题分享 第10张
厦门小升初:外国语小初衔接活动测试真题分享 第11张
厦门小升初:外国语小初衔接活动测试真题分享 第12张
厦门小升初:外国语小初衔接活动测试真题分享 第13张
厦门小升初:外国语小初衔接活动测试真题分享 第14张
以下是政策合集直达(点击跳转):
学科学习厦门中考政策
教育杂想厦门小升初政策
国内升学厦门名校精解
教育杂想厦门房学研究
中考志愿厦门高一选科厦门科创选拔
厦门小学入学政策
鹭岛考学指南由一群厦门家长组成,
20年亲历厦门幼小初高政策和升学规则,

长期深度调研公民办校、机构、独立老师口碑评价,

致力打造公益通俗易懂的厦门升学政策解读平台

让更多的厦门学子精准成长成才!

考学指南服务内容

1.如果您是中介,请告诉我们近期力推的房源,我们会公益介绍!

2.如果您是机构,请告诉我们你们最好的课程,我们会公益推荐!

3.如果您是家长,请告诉我们所有的考学诉求,我们会公益解答!

4.如果您是同行,请告诉我们做号的困难问题,我们会公益支持!

5.如果您是带货,请告诉我们热销的教育周边,我们会公益推广!

考学指南服务宗旨

全程免费公益!

添加微信,一站式考学升学公益咨询,近在咫尺!
厦门小升初:外国语小初衔接活动测试真题分享 第15张

抱歉,评论功能暂时关闭!