早点关注我,精彩不错过!
编者按:本系列预计每周发布1期中考数学压轴题的解析与点评。内容以服务长沙地区的考生为主,其他地区也可参考。题目选择按真题优先、长沙和其他教育发达省份题目优先、时间靠近优先的原则选取。
每题具体展开内容包括详细解析、思路分析和试题点评三个模块。再配合视频讲解,透过题目全方位挖掘解题需要掌握的知识、方法、思路和数学思想的各层次内容。切记做题不是目的,掌握做题的能力才是真正的目标。
如对内容有疑问或问题,欢迎留言、批评和指正。
往期回顾
长沙.2021.24
原题:
图1 中考数学-长沙-2021-压轴24题

详细解析:
视频1 中考数学-长沙-2021-压轴24题解析
图2 中考数学-长沙-2021-压轴24题解析

思路分析:
1. 遥远的长沙2025.24年考察了对偶点,原来原型在这里。确实也比较原始,仅仅是轴对称而已,甚至比再前一年2020的中心对称还容易。第1问照例按定义带入热身即可,接下来几问则是更容易了。
2. 和2022.25类似的分类讨论考察,但难度低得多,也不及2024.25的水平,只不过这里是讨论k是否为0,讨论点仍然基于几何直观理解和或转为的方程组有解问题。注意这里没说是一次函数,所以k可以为0。看似更简单的分类,但要对概念更细致地理解才能有信心而准确地找到答案。若是对照2025.24.2,这也算简易原始版了。
3. 看起来复杂,但其实直白又原始。过原点,T函数对称性,可以搞定b = c = 0,接下来联立以后还有m, n, a三个参数,继续用好条件转化来的韦达定理即可再得一组m = - n,因此直线方程就剩下一个参数,作为让直线转动的唯一变量。过定点问题的首次出现,在2023.25中复现而且变复杂了。这里还算简单,需要找到x,使得y的表达式和m无关才行,于是整理为m的多项式,实际是一次式,系数为0即可。
甚至还可以先给两个m的值把交点求出来,再去验证,但有点杀鸡用牛刀了。
试题点评:
年份越往前做感觉题目反而越来越容易了,不知道是我进入状态水平变高了还是真的题目水平在逐年提升。不过这种压轴题考察内容的一脉相承再一次证明了这场考试的难度还没难到不可准备的级别。这题1-2问的内容几乎就是长沙2025.24和2020.24的简化版,函数更简单(还少考了一个反比例函数),对称关系更简单。而3的话多了一个方程联立,不过也是高中最简单的那种,再考了个韦达定理,剩下的直线过定点问题在长沙2023.25中升级成了更复杂的函数。
所以对压轴题也要祛魅啊,他也没有难到无章可循而值得战略性放弃,相反其规律还是比较好摸透的。吃透真题思路,备考必定先人一步。
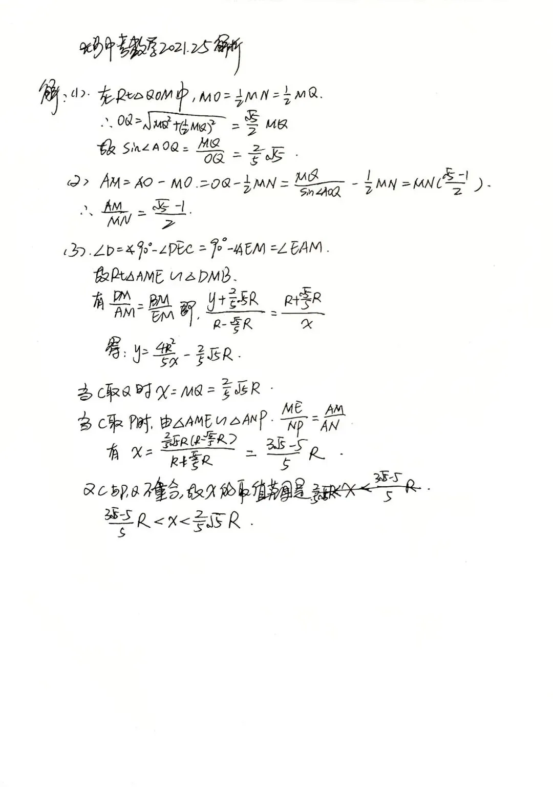
长沙.2021.25
原题:
图3 中考数学-长沙-2021-压轴25题

详细解析:
视频2 中考数学-长沙-2021-压轴25题解析
图4 中考数学-长沙-2021-压轴25题解析

思路分析:
1. 垂径直角三角形,通过正方形给定了一组边比关系,进而确定好了形状,剩下的只要照着三角函数定义写就是了。
2. 还是垂径三角形,三角函数都不考了,在直径上考察线段加减关系带来的比例变换和求解。本质上,这里直径上的各分点比例都是可求的:圆心平分直径,圆心到弦的距离在垂径三角形中已经被勾股定理和边比关系解决。再加上MN的对称性,因此剩下的通过加减运算都能有序解决,细心点人肉计算清楚就是了。
3. 到这一问才真的有点摸到压轴题的解题迷宫的复杂度的门槛。这里是个明显的直角筝形的结构,有4组直角相似三角形。依照比例转化关系写作的思路,要去找能联系目标和已知条件的边比,且尽量不引入其他边。显然已知条件都集中在AMNB四点的比例上,因此转化到竖着的DQEM上即为所求。其中MQ也和AB有固定比值,比例式子中含有它不算引入了其他边。注意这里是不强求直接联系x,y的,只要得到方程,转为函数关系还是不难的。何况这里R也是当作已知量的,所以这里半圆和正方形形状和尺寸都已知,C就是决定x和y关系的唯一主动点。
根据这些分析,这才一边猜一边枚举,找到△AME∽△DMB,在没有引入其他变量的条件下,一次性解出结果了。
试题点评:
看完24说有所下降,这25还真印证了这一观点。1-2问完全是小题的难度,3问考察的知识面,弯弯绕绕的思路找寻难度也不太达标,目标的复杂度也不足,作为第二问还差不多。这里考的就是直角筝形,在2024.24是反复出现过的。那里虽然也不难,但好在量大和唬人,还是有一定区分度的。这里只要掌握好这里的4个相似三角形,就能站在二级结论上直接快速找边的关系,不然要临时去证明这些相似还不确定是不是对的时候,要去快速找到边的联系方向就很难了。有点像这里马上要吃鸡了,得先去养鸡,这根本来不及。所以这就是几何题这些二级图形的重要性,熟悉了解了以后,解题就像有捷径一般顺畅。
当然,这些玩意也只能算作数学游戏级别,算不得数学研究。但作为思维训练和选拔工具,它也够我们用和玩这些年了。别小看它,至少你得先搞定它!
看起来,2021确实是长沙中考改革当年达到的难度低谷,此年难度降低到最低,再在后续年份逐年回升的。这样看来,该年因为数学的区分度的下降,对于一般和顶尖学生得差距,原来本就20分的差距可能就剩不到10分了,理科强的孩子的优势荡然无存,这甚至让我想到了我自己高考的2010。
哎,就这么点教育改革的大事,就如此有赌博成分地决定了很多人一生最大的命运之一,时也,命也啊!
往期精彩