2026年高考,深圳二模数学试卷+答案

四季读书网 5 0
2026年高考,深圳二模数学试卷+答案
2026年高考,深圳二模数学试卷+答案 第1张
2026年高考,深圳二模数学试卷+答案 第2张
2026年高考,深圳二模数学试卷+答案 第3张
2026年高考,深圳二模数学试卷+答案 第4张
2026年高考,深圳二模数学试卷+答案 第5张
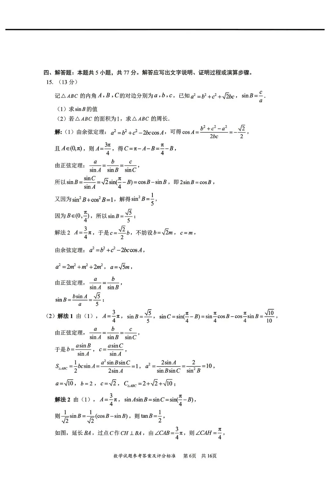
2026年高考,深圳二模数学试卷+答案 第6张
2026年高考,深圳二模数学试卷+答案 第7张
2026年高考,深圳二模数学试卷+答案 第8张
2026年高考,深圳二模数学试卷+答案 第9张
2026年高考,深圳二模数学试卷+答案 第10张
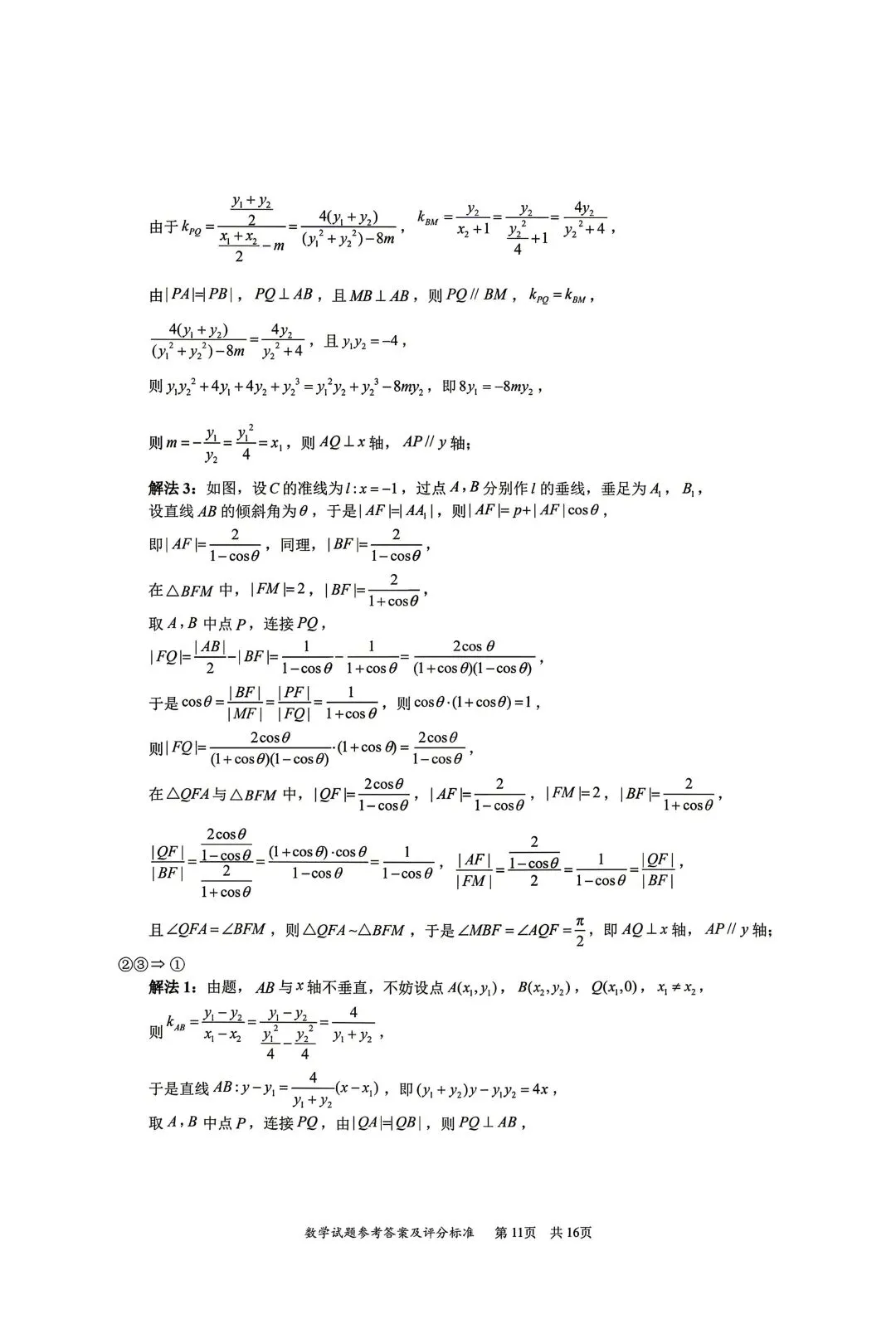
2026年高考,深圳二模数学试卷+答案 第11张
2026年高考,深圳二模数学试卷+答案 第12张
2026年高考,深圳二模数学试卷+答案 第13张
2026年高考,深圳二模数学试卷+答案 第14张
2026年高考,深圳二模数学试卷+答案 第15张
2026年高考,深圳二模数学试卷+答案 第16张

抱歉,评论功能暂时关闭!