【中考物理】2026初三海淀一模选择易错压轴题分析

四季读书网 6 0
【中考物理】2026初三海淀一模选择易错压轴题分析
     海淀一模的10、12、15  三道题层层递进,从概念辨析到综合计算,再到动态建模,全面考查了力学的核心知识与能力。题目情境贴近实际,注重考查学生的物理思维而非机械刷题,对学生的受力分析、逻辑推理和计算能力都提出了较高要求,是典型的中考压轴题风格。
【中考物理】2026初三海淀一模选择易错压轴题分析 第1张
核心考点:浮力计算、受力平衡、动态过程分析
 题目以自动进水装置为背景,结合圆柱体、细线、力传感器,考查了浮力、受力平衡、水位变化的动态分析,难度最高。
 解题关键是分析最低、最高水位时的受力情况,求出浮力与水位的关系,再逐一分析选项:水位变化过程中,浮力的变化会影响传感器拉力,细线长度、物体密度的变化会改变触发水位。
 这道题的亮点在于将力学知识与实际装置结合,考查学生的建模能力与动态分析能力,区分度极高。
【中考物理】2026初三海淀一模选择易错压轴题分析 第2张
【中考物理】2026初三海淀一模选择易错压轴题分析 第3张
核心考点:机械能转化、动能与重力势能的变化规律
这道题的亮点在于将抽象的能量变化与轨迹图、饼状图结合,考查学生的信息提取与逻辑推理能力,避免了机械记忆。
【中考物理】2026初三海淀一模选择易错压轴题分析 第4张
【中考物理】2026初三海淀一模选择易错压轴题分析 第5张
【中考物理】2026初三海淀一模选择易错压轴题分析 第6张
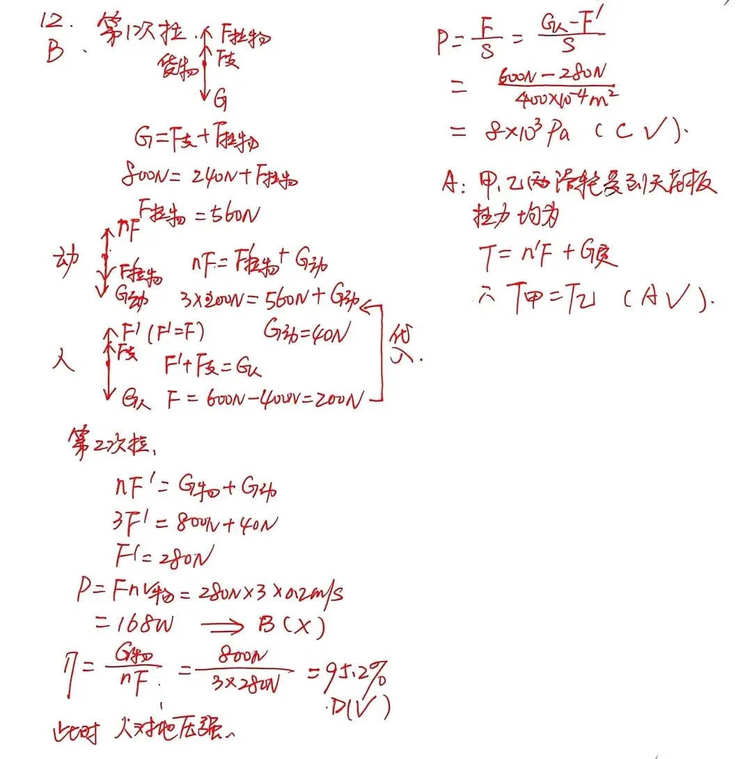
核心考点:滑轮组受力分析、功与功率、机械效率、压强计算
这道题的难点在于两次拉绳的情境差异,以及对滑轮组受力的全面分析,考查了学生的计算能力与细节把控能力。
热气腾腾的海淀一模刚结束,不少同学对着题叹气:怎一个难字了得
🔍 错题直击:3道题的“坑”在哪?
 1. 平抛机械能题:想当然的“守恒陷阱”
 题目中,小球反弹高度逐次降低,说明空气阻力不可忽略,机械能不守恒。很多同学看到“高度相同”,就默认①③动能相等,忽略了机械能的损耗;更易出错的是,不会结合饼状能量图计算总机械能,误判动能大小关系。
2. 滑轮组综合题:受力分析的“不对称盲区”
滑轮组的两次拉绳情境,是典型的“多状态受力分析”。不少同学第一次拉绳时,漏算了动滑轮重力,导致后续拉力、功率计算全错;
3. 浮力传感器题:动态过程的“断点式分析”
这类题的难点在于水位变化时,物体浮力、细线拉力、传感器示数的联动变化。很多同学只会算“最高/最低水位”的静态受力,不会分析水位上升过程中“浮力增大→拉力变化”的动态逻辑,导致选项判断全凭感觉。
 
【中考物理】2026初三海淀一模选择易错压轴题分析 第7张
💡 提分对策:3步攻克力学压轴题
1. 概念辨析:给易混点加“限定条件”
机械能守恒的前提是“只有重力/弹力做功”,看到“反弹高度降低、轨迹不闭合”,立刻警惕阻力损耗;
动能大小判断,必须同时看“重力势能变化+机械能变化”,不能只看高度。
 2. 受力分析:画“状态受力图”,不漏一个力
  滑轮组/浮力题,每个状态(如“货物未离地”“匀速上升”)单独画受力图,标注所有力(拉力、重力、支持力/浮力);
 用平衡条件列方程,先求动滑轮重力、物体重力这些“不变量”,再算变化的拉力、功率。
3. 动态题建模:用“过程拆分法”拆解变化
  浮力/滑轮组动态题,按“水位上升/绳子拉动”的阶段拆分过程,每个阶段分析力的变化趋势;
比如浮力题,先分析“物体未浸没”“浸没后水位继续上升”两个阶段,再结合受力平衡找临界状态。
【中考物理】2026初三海淀一模选择易错压轴题分析 第8张

抱歉,评论功能暂时关闭!