★今天的两题被命题团队在考后复盘时评为得意之作,必须熟练掌握每一种思路★
试题解法多样,为不同思维水平的考生提供了发挥的空间,抽象到平面问题后,既可以把问题看成一个综合几何问题,也可以把问题看成一个解析几何问题.
从综合几何角度看,问题可以进一步转化为“圆与两条定直线相切,且过一个定点,求圆的半径”,这实际上是一个阿波罗尼斯圆与角平分线交点的问题,可以通过尺规作图完成.
试题突出考查基础性、综合性和创新性,突出考查空间想象能力.试题具有很好的区分度,有利于高校选拔创新人才.
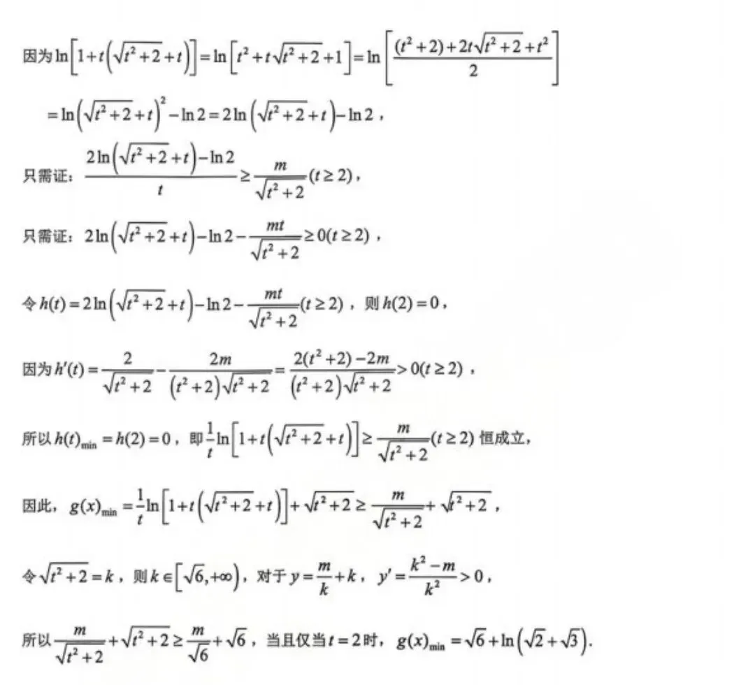
◎真题示例一




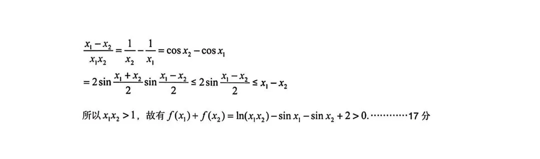
◎真题示例2































文章来源:
四季读书网
版权声明:本文内容由互联网用户自发贡献,该文观点仅代表作者本人。本站仅提供信息存储空间服务,不拥有所有权,不承担相关法律责任。如发现本站有涉嫌抄袭侵权/违法违规的内容, 请发送邮件至23467321@qq.com举报,一经查实,本站将立刻删除;如已特别标注为本站原创文章的,转载时请以链接形式注明文章出处,谢谢!