上海市长宁区2026届高三二模数学试卷详解

四季读书网 6 0
上海市长宁区2026届高三二模数学试卷详解
上海市长宁区2026届高三二模数学试卷详解 第1张
上海市长宁区2026届高三二模数学试卷详解 第2张
上海市长宁区2026届高三二模数学试卷详解 第3张
上海市长宁区2026届高三二模数学试卷详解 第4张
上海市长宁区2026届高三二模数学试卷详解 第5张
上海市长宁区2026届高三二模数学试卷详解 第6张
上海市长宁区2026届高三二模数学试卷详解 第7张
上海市长宁区2026届高三二模数学试卷详解 第8张
上海市长宁区2026届高三二模数学试卷详解 第9张
上海市长宁区2026届高三二模数学试卷详解 第10张
上海市长宁区2026届高三二模数学试卷详解 第11张
上海市长宁区2026届高三二模数学试卷详解 第12张
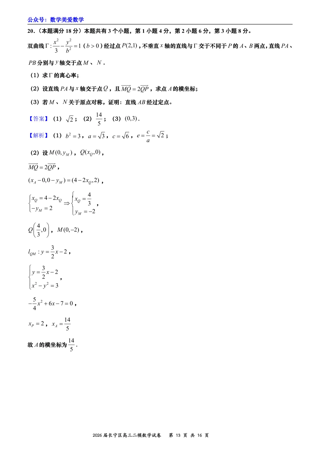
上海市长宁区2026届高三二模数学试卷详解 第13张
上海市长宁区2026届高三二模数学试卷详解 第14张
上海市长宁区2026届高三二模数学试卷详解 第15张
上海市长宁区2026届高三二模数学试卷详解 第16张

抱歉,评论功能暂时关闭!