2026届高三和平区二模数学试卷+答案

四季读书网 1 0
2026届高三和平区二模数学试卷+答案
2026届高三和平区二模数学试卷+答案 第1张
2026届高三和平区二模数学试卷+答案 第2张
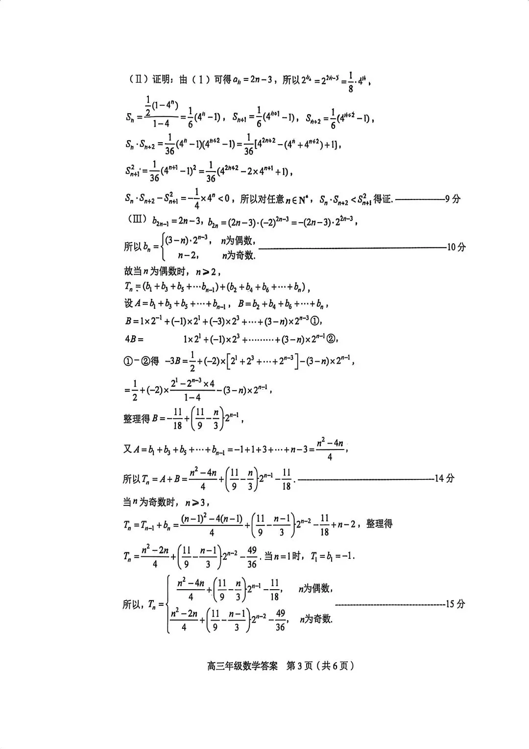
2026届高三和平区二模数学试卷+答案 第3张
2026届高三和平区二模数学试卷+答案 第4张
2026届高三和平区二模数学试卷+答案 第5张
2026届高三和平区二模数学试卷+答案 第6张
2026届高三和平区二模数学试卷+答案 第7张
2026届高三和平区二模数学试卷+答案 第8张
2026届高三和平区二模数学试卷+答案 第9张
2026届高三和平区二模数学试卷+答案 第10张

上一个2025年 湖北省中考真题试卷及答案-数学

下一个当前已是最新一个了

抱歉,评论功能暂时关闭!