G4联考质量超级高!命题背景丰富,整体难度大!
第8题,题目本身是好题,但三角函数平移后三个交点组成正三角形,算到最后发现无解,这在考场上碰到,心态稍微差一点就容易慌!
第11题,把立体几何的圆台、空间向量、基本不等式和圆内接三角形面积最值全都捏在了一起 。D选项求三棱锥体积的最大值,直接去设坐标,会非常麻烦。把体积最大值问题转化为下底面圆内三角形面积的最大值,再设圆心到弦的距离为参数,用基本不等式一步就到位了。如果卡住了,那就说明对空间几何中体积最值的处理套路还不熟,特别是把三维问题转化成二维问题的意识还不够强。
第14题,盒子嵌套问题转化成位置串的比较,转化成卡特兰数的经典模型,这种跨界混搭非常考验大家对数学本质的理解,既考查了组合数学的基本思想,又没有超纲,完全是用高中知识解决一个看起来挺吓人的问题。
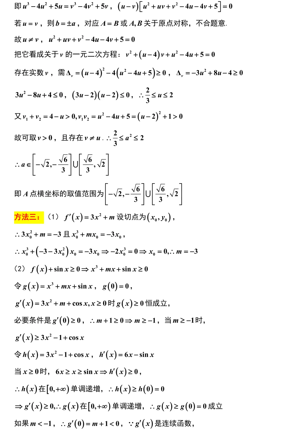
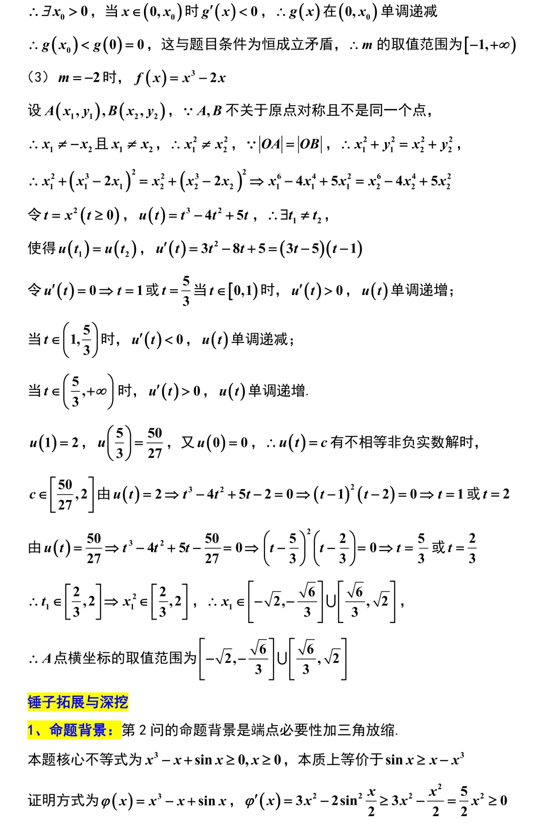
第18题,第二问恒成立,如果直接用必要性探路,先代x=0探出参数范围,再验证充分性,计算量大大降低;如果从正面硬分类讨论,那要麻烦得多。第三问,如果没想到设出两点坐标再利用距离公式展开,再换元转化成三次函数值域问题,那就很难往下走。
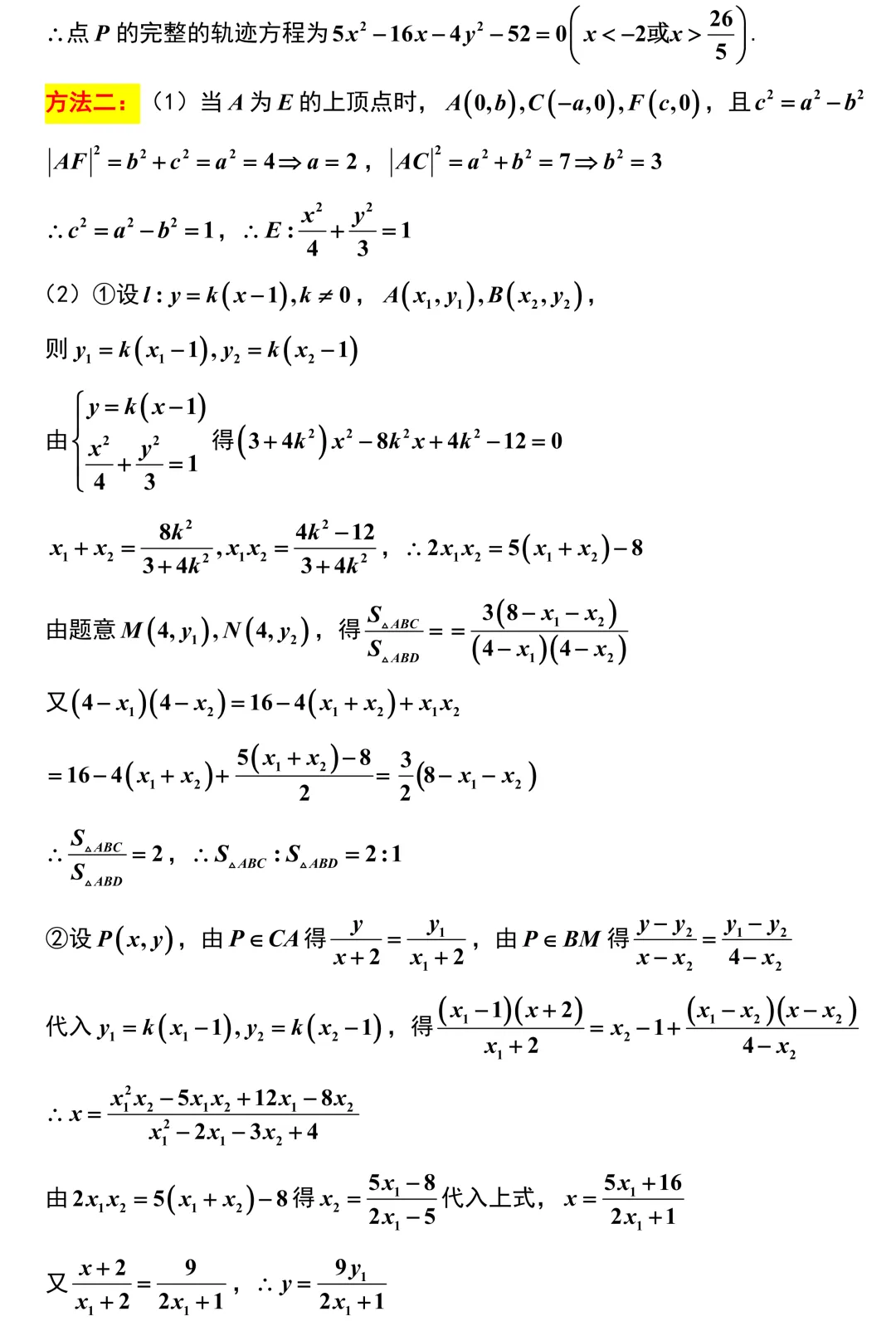
第19题:解析几何的切线轨迹问题,涉及切线、轨迹方程和复杂的联立。最后一问甚至可以转化成公切线来秒杀,这种对基本功和思维转化的考察非常有深度 。我们密训会全面梳理这种题型!
总的来说,这张G4的卷子值得同学们花时间去体会!






























序号 | 密训内容 |
1 | 2026高考融合题的处理策略含原创与预测 |
2 | 2026高考立体几何的估计与研判(大、小题) |
3 | 立体几何、三角函数卡住后怎么找思路、口诀与预测 |
4 | 新高考瓶颈题怎么争取(数列、三角大题、概率大题) |
5 | 2026新高考新定义压轴题的处理诀窍 |
6 | 不会做的选择填空怎么最大限度得分 |
7 | 创新情景题之代数式、数组、计数、数据处理 |
8 | 信息读取题之图像、图形、向量、三角、函数 |
9 | 新高考在数学思想上考察的偏好与必考方法 |
10 | 导数大题必须掌握的技巧与结构 |
11 | 2026高考解析几何考察偏好、必胜公式与减少运算的方法 |
12 | 2026高考选择、填空压轴方向混讲 |
13 | 2026高考概率统计的综合点睛 |
14 | 内部选题(临门一脚)2026新高考最可能考的压轴题 |
15 | 内部选题(估计+考前提示) |
16 | 2026高考预测与对策、猜题与信息整合 |
【参与途径】
参与V(手机同号):15371651243
预报名通道已经打开.预报名活动具体可咨询V
凡是参加五月密训,配套赠送:
1、《2026锤子数学闭门预测卷·6套》
3、《2026锤子数学考前练手卷·2套》
4、《2026考前原创融合·创新压轴20题》
5、《2026考前原创解析几何20题》
密训说明:
所有课程回放全程支持到2026年高考结束,助你反复领悟。
利用仅剩的宝贵一个月时间,精准狙击,狠狠突破瓶颈题!乾坤未定,一切都来得及!