太调皮!imo真题竟然变为强基题!

四季读书网 1 0
太调皮!imo真题竟然变为强基题!
伙伴们好,我是nouvelle vie.
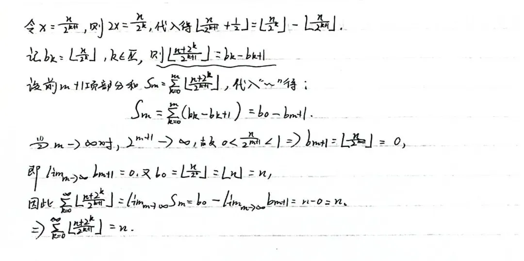
标题所示的imo真题是:1968年imo q6.
“变身后”的强基题:2023年中山大学强基.
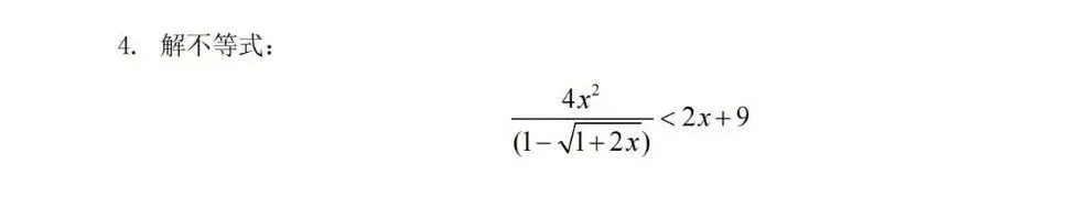
其全卷如下:
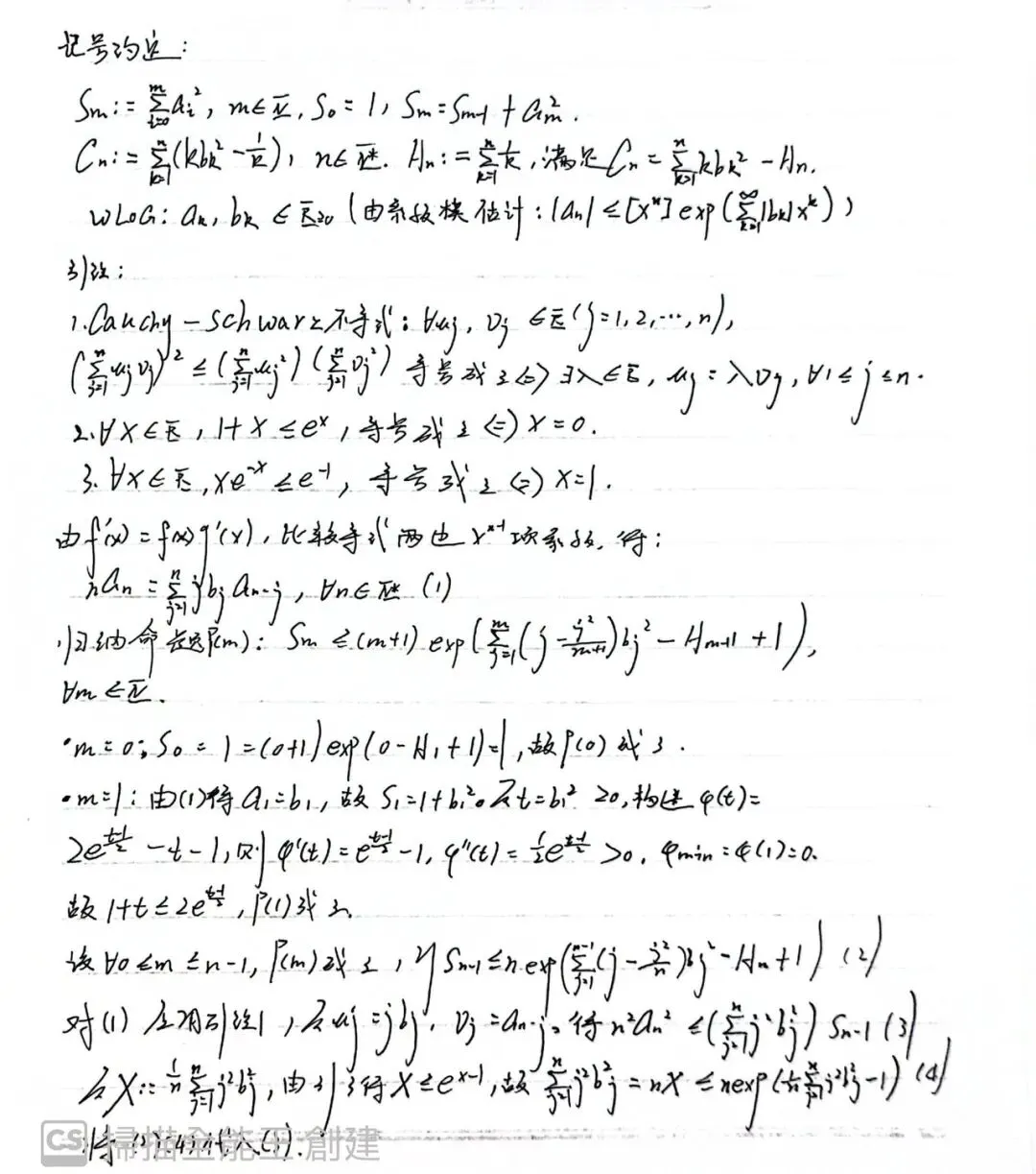
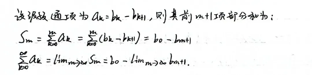
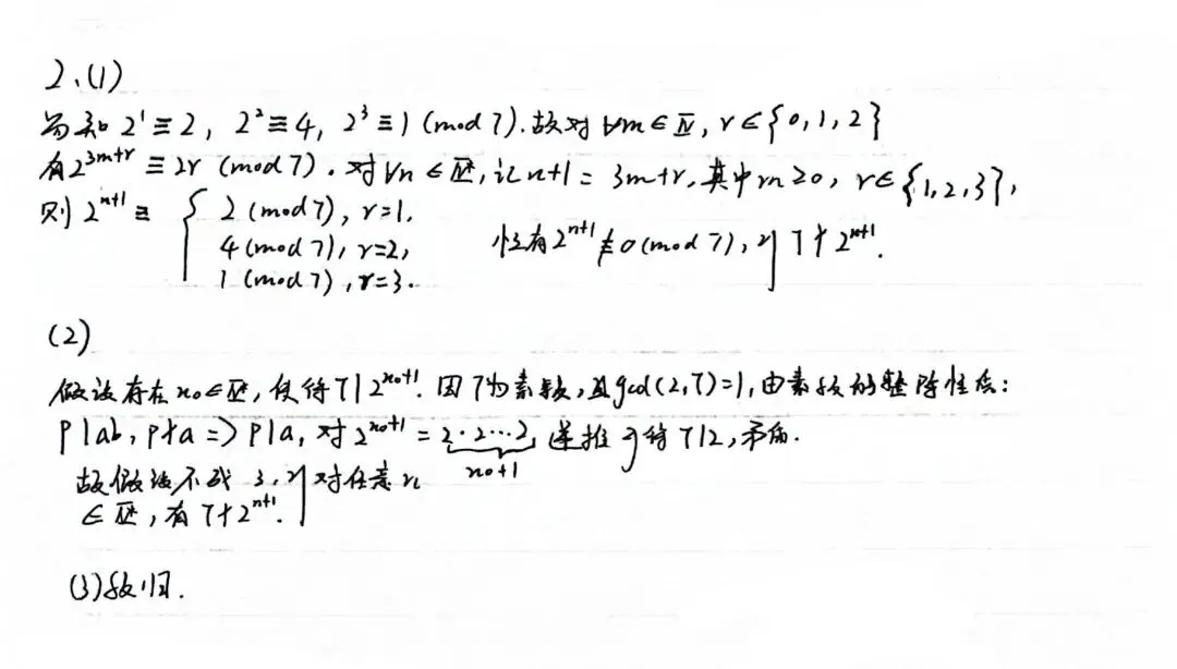
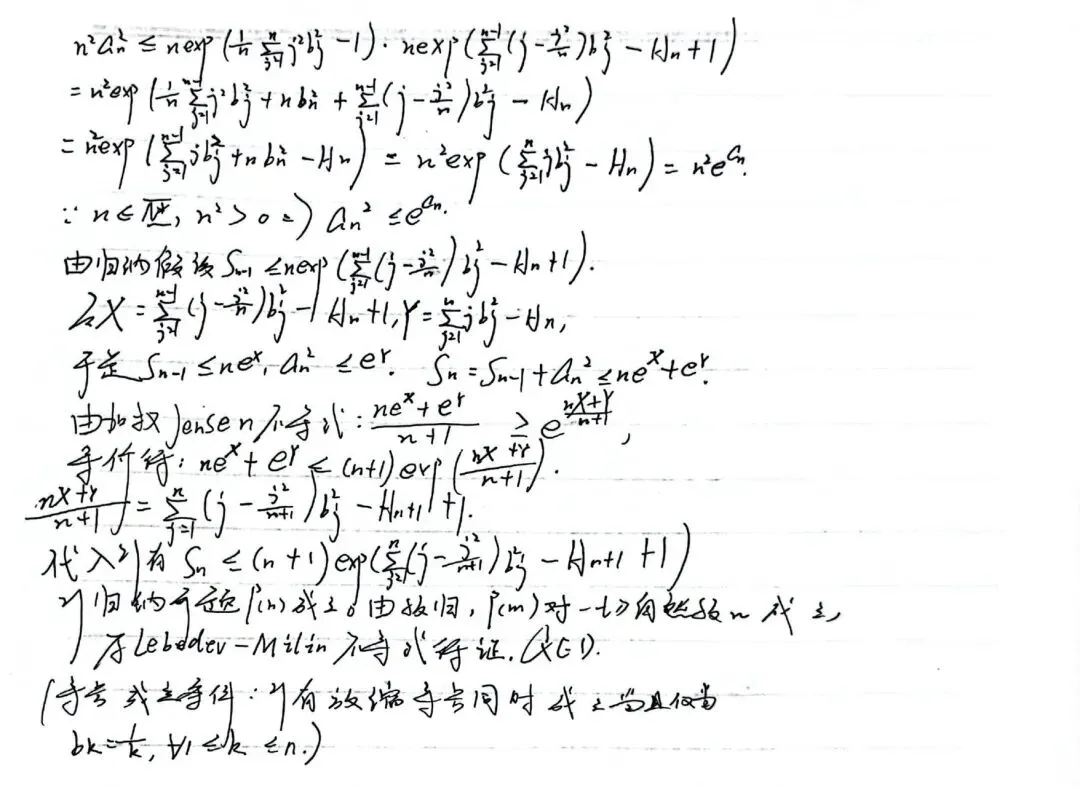
太调皮!imo真题竟然变为强基题! 第1张
爱亩亩欧:
太调皮!imo真题竟然变为强基题! 第2张
太调皮!imo真题竟然变为强基题! 第3张
太调皮!imo真题竟然变为强基题! 第4张
太调皮!imo真题竟然变为强基题! 第5张
太调皮!imo真题竟然变为强基题! 第6张
太调皮!imo真题竟然变为强基题! 第7张
太调皮!imo真题竟然变为强基题! 第8张
太调皮!imo真题竟然变为强基题! 第9张
太调皮!imo真题竟然变为强基题! 第10张
太调皮!imo真题竟然变为强基题! 第11张
太调皮!imo真题竟然变为强基题! 第12张
太调皮!imo真题竟然变为强基题! 第13张
太调皮!imo真题竟然变为强基题! 第14张
太调皮!imo真题竟然变为强基题! 第15张

上一个八年级生物模拟试卷

下一个当前已是最新一个了

抱歉,评论功能暂时关闭!