本次信息素养大赛对算法应用主题赛设定了四种场景,但这些场景只是编程语言的“外衣”,本质上考的仍是对编程语言的掌握程度,所以,语言本身仍是我们复习的重点。志远精心选择了各语言的通关练习卷供同学们参考,敬请关注。
信息素养大赛备赛通关复习Scratch真题练习卷02
【真题练习】2026信息素养大赛图形化Scratch练习卷01
31.默认小猫角色,下列哪个程序执行一次之后能够在舞台上画出下面图案()[单选题]*


答案解析:饱和度是指色彩的鲜艳程度,并不能改变颜色.而颜色值的不同代表了不同的颜色,所以选项B错误.选项AC将颜色设定为一个固定的值,那么画笔会一直保持这个颜色,故错误。
32.让角色一直移动,需要用到的下面哪个积木()[单选题]*
A、重复执行√
B、图章
C、克隆
D、广播
33.执行下列程序后,c的值是()[单选题]*

A、50
B、51√
C、49
D、0
34.下列程序绘制的图形是()[单选题]*

A、正方形
B、长方形
C、菱形
D、没有出现图形√
35.小蜗牛不小心掉进了一口井,白天它往上爬a米,晚上向下掉b米,这口井高h米,通过下图的程序求出小蜗牛爬出井需要的天数。假设a=4,b=2,那么当井高为多少米时,小蜗牛可以在第9天时爬出井()[单选题]*

A、20√
B、21
C、22
D、23
36.关于克隆体,说法正确的是()[单选题]*
A、所有克隆体的运动轨迹必须一样
B、不同的克隆体可以有不同的运动轨迹√
C、克隆体不能移动
D、克隆体的亮度虚像都不能改变
37.小猫位于舞台中心,方向90,执行一次下列程序后,舞台上可以看到()[单选题]*
A、舞台上只看到一只小猫,且坐标是(x:100,y:0)
B、舞台上看到两只小猫,一只坐标是(x:0,y:0),另一只坐标是(x:100,y:0)√
C、舞台上看到无数只小猫,且每只小猫相隔距离为100
D、舞台上只看到一只小猫,且坐标是(x:0,y:0)
答案解析:克隆体会继承本体的所有属性,所以每次克隆体的初始位置都是(x:0,y:0),当作为克隆体启动时移动100步,默认情况下是向右移动,所以最终只会看到两只小猫,一只坐标是(x:0,y:0),另一只坐标是(x:100,y:0)
38.执行下列程序后,a的值为()[单选题]*

A、15
B、20
C、40
D、50√
39.执行下列程序后,小猫说出的结果是右图中哪个图形的面积()[单选题]*

A、阴影①部分的面积
B、阴影部分①和③的面积之和√
C、图形②的面积
D、图形④的面积
答案解析:大扇形的面积等于图形1+2+3;小扇形的面积等于3+4;长方形的面积等于2+3+4;所以大扇形的面积+小扇形的面积-长方形的面积=1+2+(3+3+4)-(2+3+4)=1+3
40.执行下列程序,说出的内容是()[单选题]*

A、自然数的累加和
B、自然数的累乘积
C、两个数的最大公约数
D、两个数的最小公倍数√
41.角色Champ99有7个造型,他和同学们玩拍七令,游戏规则是从1开始依次数数,如果遇到7或7的倍数时跳过数数,Champ99换一个造型,Champ99刚好换完第七个造型时游戏停止,请问最后一个小伙伴报的数是()[单选题]*
A、7
B、49
C、41√
D、35
答案解析:造型1:变量值1-6,造型2:变量值7-13,造型3:变量值14-20,造型4:变量值21-27,造型5:变量值28-34,造型6:变量值35-41,造型7:变量值42。变量值刚达到42,脚本就停止运行,而角色没有说出42,所以最后一个报的数应为41
42.角色A程序如左图所示,角色B程序如右图所示。点击绿旗,在什么时候角色A说“真棒”()[单选题]*

A、角色A开始切换造型时
B、角色A造型切换十次完成后
C、角色B造型切换十次完成后√
D、不会说此句
43.角色苹果,运行下面程序绘制的图形是()[单选题]*


44.猫抓老鼠游戏的封面上有“开始”按钮和“游戏规则”两个按钮,但是点击了“开始”按钮之后出现的却是游戏规则说明,下面各选项是“开始”的程序,哪个选项可能造成这一现象()[单选题]*


45.能让角色在整个舞台范围内的任意位置出现的程序是()[单选题]*

46.小猫的程序左下图所示,恐龙的程序如右下图所示,点击绿旗,下面说法正确的是()[单选题]*

A、点击绿旗后,小猫立即说“一起玩真高兴!”
B、点击绿旗后,小猫和恐龙开始跳跃,小猫停止跳跃后,立即说“一起玩真高兴!”
C、点击绿旗后,小猫不跳跃,恐龙开始跳跃,等到恐龙停止跳跃,小猫说“一起玩真高兴!”
D、点击绿旗后,小猫和恐龙都开始跳跃,小猫先停止跳跃,等到恐龙停止跳跃,小猫说“一起玩真高兴!”√
47.下图中的程序执行一次之后,舞台上画出的痕迹是()[单选题]*


答案解析:透明度为色彩透光的程序,当透明度为0时,表示完全不透明,100时表示完全透明.而程序中的透明度是从100减到0,所以是一个从无到有的状态,故BC错误,而程序中并没有改变画笔的大小,所以A错误,正确答案为D
48.关于变量的描述正确的是()[单选题]*
A、变量的正常显示模式只显示变量值
B、变量的大字显示模式显示变量名及变量值
C、变量的滑杆显示模式显示变量名、变量值以及滑杆,通过滑动滑杆上的滑块改变变量的值√
D、变量只能存放变化的数字
答案解析:变量的正常模式显示变量名和变量值,大字显示模式只显示变量值,所以选项A、B错误;变量还可以用于存放字母、汉字,所以选项D错误。
49.默认小猫角色,下图中的程序执行一次之后得到的图形是()[单选题]*


答案解析:题目中的程序是两个重复的嵌套使用,里面的重复决定边的长度及线形,落笔移动5步,再抬笔移动8步,决定了画出的这个图形的边是虚线,所以选项A、D不正确;外面的重复决定了画出图形的边数,所以外面重复执行的次数就是画出图形的边数,故正确答案是C。
50.记录用户输入的数据,要用到的是()[单选题]*
A、侦测碰到
B、随机数
C、变量√
D、广播
51.下面哪个选项程序可以交换下图列表中第2项和第3项的位置()[单选题]*



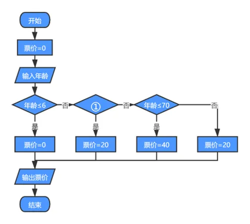
52.雷峰塔景区的门票价格政策是:成人40元/人;6周岁(含6周岁)以下的实行免票;6周岁以上、18周岁(含18周岁)以下的可购买半票(20元/人);70周岁(不含70周岁)以上老人凭有效证件可享半票优惠。雷峰塔景区门票价格计算流程图如下图所示,图中“①”处的正确选项是()(注:“≤”读作小于等于,表示小于或等于)()[单选题]*

A、年龄<18
B、年龄≤18√
C、年龄>18
D、年龄≥18
53.角色当前造型如下图所示,在执行以下程序后,舞台中会出现下列哪个选项中的图案()[单选题]*


54.现有一个数字序列:1,2,3,4,5,6,7,8,9,10,11。现在用二分查找的方式查找数字8,请问最少需要几次查找()[单选题]*
A、1
B、2
C、3√
D、4
55.执行下面程序后在舞台中出现的图案是()[单选题]*


56.下面程序的执行效果跟哪个选项的执行效果一样()[单选题]*


57.老师在黑板上挂了一张世界地图,并给亚洲、欧洲、美洲、非洲、大洋洲分别标上了1、2、3、4、5五个数字编号,再让同学们指出五大洲对应的编号,有五名同学分别做了回答。A同学:3号是欧洲,2号是美洲;B同学:4号是亚洲,2号是大洋洲;C同学:1号是亚洲,5号是非洲;D同学:4号是非洲,3号是大洋洲;E同学:2号是欧洲,5号是美洲。最后老师对五名同学的回答做出评价:你们每个人都只说对了一半。下列选项中说法正确的是()[单选题]*
A、1号是美洲
B、2号是亚洲
C、3号是欧洲√
D、5号是大洋洲
58.克隆小鸡角色,程序中“①”处的数值应该是多少()[单选题]*

A、3
B、4√
C、5
D、以上都不对
59.列表“六(2)班科学”存放六班所有同学的科学成绩,要想计算平均分,请问其中的“代码1”和“代码2”分别是什么()[单选题]*


60.下面程序将输入的内容倒过来,例如输入“我爱妈妈”,角色会说“妈妈爱我”。请问程序中的“①”是()[单选题]*


欢迎评论区留言交流~
~~~
加入免费的Scratch学习交流群,您可在公众号主页发消息:入群,获取群二维码。获取Scratch学习资源或编程学习个性化辅导,请联系志远老师(微信号:K9Prog)。
发文不易,点赞支持

