【中考数学】实际问题与二元一次方程组专项训练

四季读书网 7 0
【中考数学】实际问题与二元一次方程组专项训练
【中考数学】实际问题与二元一次方程组专项训练 第1张
《实际问题与二元一次方程组》检测题
一、基础题
1.在方程3xay8中,如果是它的一个解,那么a的值为
2.已知二元一次方程2xy1,若x2,则y;y0,则x
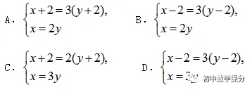
3.、某人买了60分的邮票和80分的邮票共20张,用去了132角,则60分的邮票买了枚,80分的邮票买了枚。
4.大数和小数的差为12,这两个数的和为60,则大数是,小数是.
5.有鸡兔100只,鸡腿比兔腿多80条,其中鸡只,兔子.
6.某个体商店在一次买卖中同时卖出两件上衣,每件都是以135元卖出,若按成本计算,其中一件赢利25%,另一件亏损25%,则这家商店在这次买卖中( )
A.不赔不赚 B.赚9元    C.赔8元        D.赔18元
7.甲、乙两地相距100千米,一艘轮船往返两地,顺流用4小时,逆流用5小时,那么这艘轮船在静水中的航速与水速分别是( )
A.24千米/时,8千米/时 B.22.5千米/时,2.5千米/时
C.18千米/时,24千米/时 D.12.5千米/时,1.5千米/时
8.今年哥哥的年龄是妹妹的2倍,2年前哥哥的年龄是妹妹的3倍,求2年前哥哥和妹妹的年龄,设2年前哥哥x岁,妹妹y岁,依题意,得到的方程组是( )
【中考数学】实际问题与二元一次方程组专项训练 第2张
9.某文具店出售单价分别为120元和80元的两种纪念册,两种纪念册每册都有30%的利润.某人共有1080元钱,欲买一定数量的某一种纪念册,若买单价为120元的纪念册则钱不够,但经理知情后如数付给了他这种纪念册,结果文具店获利和卖出同数量的单价为80元的纪念册获利一样多,那么这个人共买纪念册(  )
A.8册 B.9册     C.10册     D.11册
10.足球比赛的记分规则是:胜一场得3分,平一场得1分,负一场得0分.一支青年足球队参加15场比赛,负4场,共得29分,则这支球队胜了( )
A.2场 B.5场     C.7场      C.9场
11.学校的篮球数比排球数的2倍少3个,篮球数与排球数的比是3:2,求两种球各有多少个?若设篮球有x个,排球有y个,依题意,得到的方程组是( )
【中考数学】实际问题与二元一次方程组专项训练 第3张
12.甲、乙二人按2:5的比例投资开办了一家公司,约定除去各项开支外,所得利润按投资比例分成.若第一年赢得14000元,那么甲、乙二人分别应分得( )
A.2000元,5000元 B.5000元,2000元
C.4000元,10000元 D.10000元,4000元
13.(1)(2005年,南通)某校初三(2)班40名同学为“希望工程”捐款,共捐款100元.捐款情况如下表:
捐款(元)
1
2
3
4
人数
6
7
表格中捐款2元和3元的人数不小心被墨水污染已看不清楚.
若设捐款2元的有x名同学,捐款3元的有y名同学,根据题意,可得方程组( )
【中考数学】实际问题与二元一次方程组专项训练 第4张
二、实际应用
14.甲、乙两人在东西方向的公路上行走,甲在乙的西边300米处.若甲、乙两人同时向东走30分钟后,甲正好追上乙;若甲、乙两人同时相向而行,2分钟后相遇,问甲、乙两人的速度各是多少?
15.(1)某商场购进甲、乙两种服装后,都加价40%标价出售.“春节”期间商场搞优惠促销,决定将甲、乙两种服装分别按标价的八折和九折出售.某顾客购买甲、乙两服装共付款182元,两种服装标价之和为210元.问这两种服装的进价和标价各是多少元?
(2)为了解决农民工子女入学难的问题,我市建立了一套进城农民工子女就学的保障机制,其中一项就是免交“借读费”.据统计,2004年秋季有5000名农民工子女进入主城区中小学学习.预测2005年秋季进入主城区中小学学习的农民工子女将此2004年有所增加.其中小学增加20%,中学增加30%,这样,2005年秋季将农民工子女在主城区中小学学习.
①如果按小学每生每年收“借读费”500元,中学每生每年收“借读费”1000元计算,求2005年新增1160名中小学生共免收多少“借读费”?
②如果小学每40名学生配备2名教师,中学每40名学生配备3名教师,若按2005年秋季入学后,农民工子女在主城区中小学就读的学生人数计算,一共需要配备多少名中小学教师?
16.现有190张铁皮做盒子,每张铁皮可做8个盒身或22个盒底,一个盒身与两个盒底配成一个完整的盒子,用多少张铁皮做盒身,多少张铁皮做盒底可以使盒身与盒底正好配套?
参考答案
【中考数学】实际问题与二元一次方程组专项训练 第5张
【中考数学】实际问题与二元一次方程组专项训练 第6张
【中考数学】实际问题与二元一次方程组专项训练 第7张

● 2020-2022全国中考卷

● 中考数学几何专题复习微课

● 小学数学典型应用题30讲

● 巧记小学英语800单词

● 小学全科《同步练习+精品试卷》

● 中考英语精选听力100篇

● 中小学课外拓展

● 2023小学生阅读书单(1-6年级教材配套)

点击此处“阅读全文”查看更多内容

抱歉,评论功能暂时关闭!