重庆巴蜀中学高三二模高中数学试卷与解析

四季读书网 5 0
重庆巴蜀中学高三二模高中数学试卷与解析
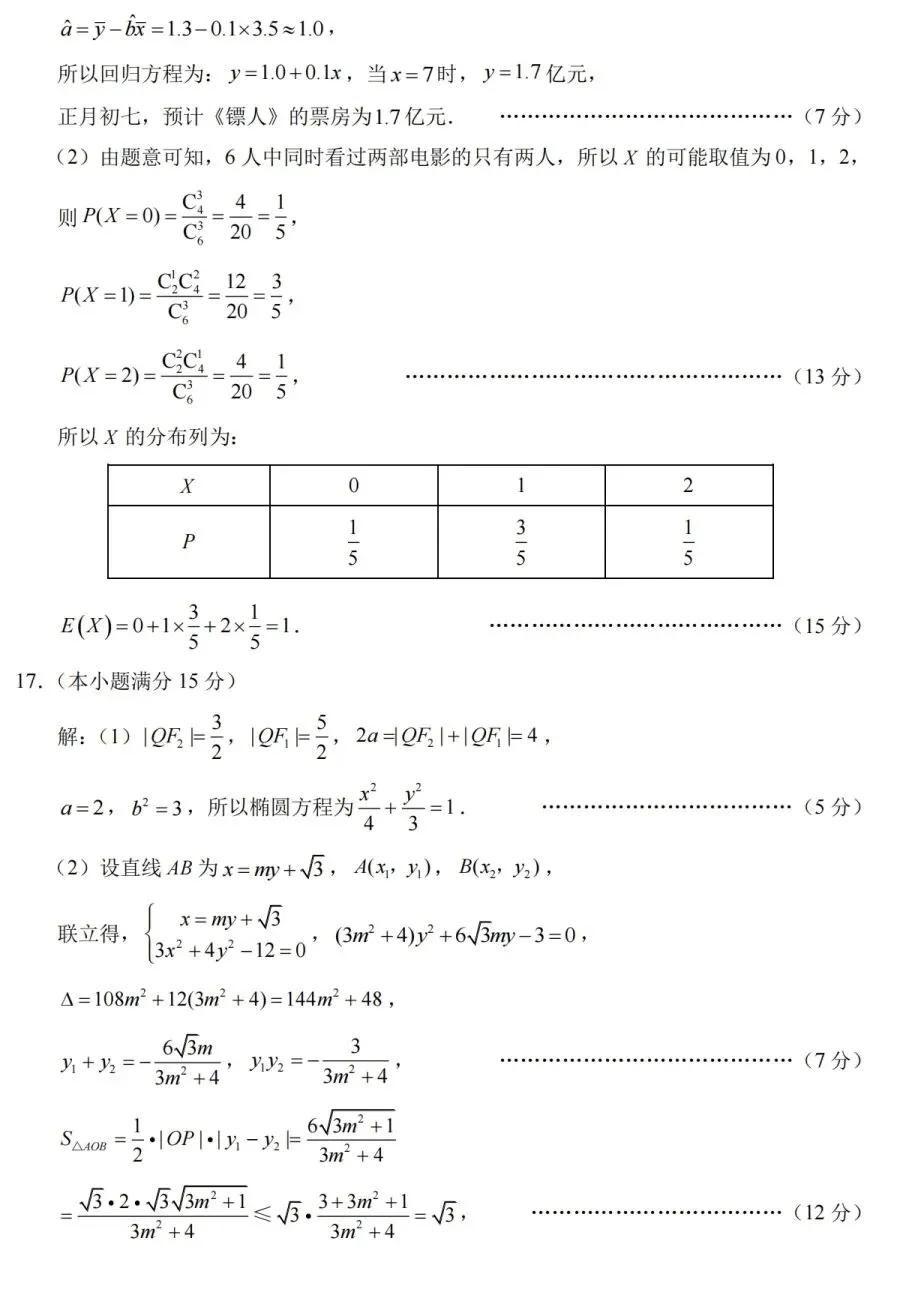
重庆巴蜀中学高三二模高中数学试卷与解析 第1张重庆巴蜀中学高三二模高中数学试卷与解析 第2张重庆巴蜀中学高三二模高中数学试卷与解析 第3张重庆巴蜀中学高三二模高中数学试卷与解析 第4张重庆巴蜀中学高三二模高中数学试卷与解析 第5张重庆巴蜀中学高三二模高中数学试卷与解析 第6张重庆巴蜀中学高三二模高中数学试卷与解析 第7张重庆巴蜀中学高三二模高中数学试卷与解析 第8张重庆巴蜀中学高三二模高中数学试卷与解析 第9张重庆巴蜀中学高三二模高中数学试卷与解析 第10张重庆巴蜀中学高三二模高中数学试卷与解析 第11张

抱歉,评论功能暂时关闭!