
2026年苏州外国语学校中考零模数学试卷,含难题解析
2026河南中考一模数学卷





答案解析
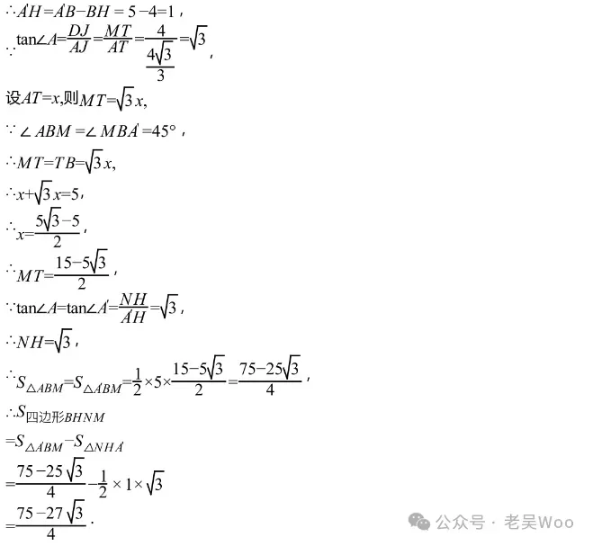
难题解析













文章来源:
四季读书网
版权声明:本文内容由互联网用户自发贡献,该文观点仅代表作者本人。本站仅提供信息存储空间服务,不拥有所有权,不承担相关法律责任。如发现本站有涉嫌抄袭侵权/违法违规的内容, 请发送邮件至23467321@qq.com举报,一经查实,本站将立刻删除;如已特别标注为本站原创文章的,转载时请以链接形式注明文章出处,谢谢!

2026河南中考一模数学卷





答案解析
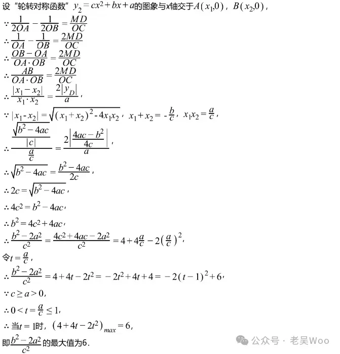
难题解析













抱歉,评论功能暂时关闭!