这次二模试卷整体难度适中,没有偏难怪题
1.试卷简单分析
T6是上课期间经常给学生说到的伸缩相似性,在赣州一模,雅礼中学月考均考过.



T7,直接考察抛物线焦半径倾斜角式子,考前复习到,记住了就直接选,节省大量计算时间


T8,按条件翻译,验证选项即可

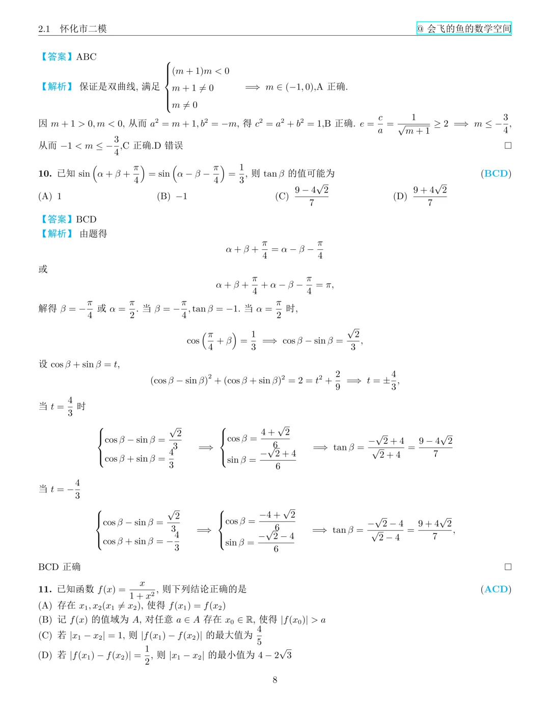
T11,麻烦,考场上选个答案即可,不需要花大时间死磕,否则小题大做,不划算.

T13,在好题重做中记载过同类题目,平时做题要多做过做过的题.

一轮结束完,给学生整理的《好题重做》T31

T14,取特殊点位,利用几何意义,常规中档题.模仿25年北京高考


T18,端点效应,必要性探路.

T19,考察到角公式,考场上翻译出条件后,虽然计算量大,写出关键3个斜率,计算稍微做做样子,能拿15分左右.

2.Latex排版的原卷



3.Latex排版的解答











文章来源:
四季读书网
版权声明:本文内容由互联网用户自发贡献,该文观点仅代表作者本人。本站仅提供信息存储空间服务,不拥有所有权,不承担相关法律责任。如发现本站有涉嫌抄袭侵权/违法违规的内容, 请发送邮件至23467321@qq.com举报,一经查实,本站将立刻删除;如已特别标注为本站原创文章的,转载时请以链接形式注明文章出处,谢谢!