2026届高三郑州二模数学试卷及答案解析

四季读书网 7 0
2026届高三郑州二模数学试卷及答案解析
2026届高三郑州二模数学试卷及答案解析 第1张
2026届高三郑州二模数学试卷及答案解析 第2张
2026届高三郑州二模数学试卷及答案解析 第3张
2026届高三郑州二模数学试卷及答案解析 第4张
2026届高三郑州二模数学试卷及答案解析 第5张
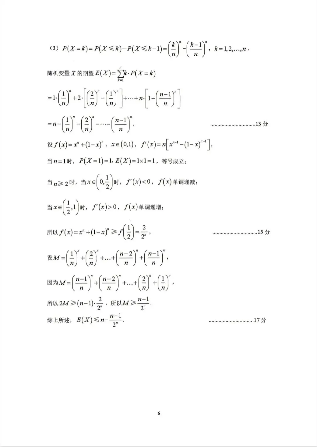
2026届高三郑州二模数学试卷及答案解析 第6张
2026届高三郑州二模数学试卷及答案解析 第7张
2026届高三郑州二模数学试卷及答案解析 第8张
2026届高三郑州二模数学试卷及答案解析 第9张
2026届高三郑州二模数学试卷及答案解析 第10张
2026届高三郑州二模数学试卷及答案解析 第11张
2026届高三郑州二模数学试卷及答案解析 第12张
高考数学考100分找实中高考补习学校
电话:15537173339

抱歉,评论功能暂时关闭!