《分式的乘除》试讲逐字稿
面试真题解析
开场白:尊敬的各位评委老师,大家好!我是初中数学教师资格证面试的××号考生,我抽到的试讲题目是《分式的乘除》。下面开始我的试讲。
一、创设情境,导入新课
师: 上课!同学们好,请坐。
师: 同学们,大家小时候都见过大拖拉机和小拖拉机吧?见过它们耕地吗?
师:(做倾听状) 有的同学说见过,有的同学说没见过。没关系,那老师请大家想一想:假设大拖拉机m天耕地a公顷,小拖拉机n天耕地b公顷,请问大拖拉机的工作效率是小拖拉机工作效率的多少倍?
师: 请大家动笔算一算。
师:(稍作停顿) 好,请中间那位穿红衣服的女生说一下你的计算结果。
师:她说大拖拉机的工作效率是a/m 公顷/天,小拖拉机的工作效率是b/n
公顷/天,所以倍数就是a/m÷b/n=a/m×n/b=an/bm 。大家说她算得对不对?
师:(做倾听状) 同学们都说对。也就是先分别算出大、小拖拉机的工作效率,然后直接求倍数,对吧?
师: 那我们再看第二个问题。假设有一个长方体容器,容积为V,底面长为a,宽为b。当容器内的水占容积的m/n时,水面的高度是多少?
师: 好,班长很快举起了手。请班长回答一下。
师:班长说:长方体容器原来的高是V/ab,因为水占容积的m/n,长宽不变,所以水面的高度为V/ab×mn=mV/nab 。分析得非常清晰!
师: 就像上面这两个问题,在讨论数量关系时,有时需要进行分式的乘除运算。那么,分式的乘除法有哪些法则呢?这节课我们就一起来学习——分式的乘除。(板书课题)
二、合作探究,学习新知
师: 大家都知道,分式与分数有类似的形式。所以在学习分式的乘除运算之前,我们先来回顾一下分数的乘除法则。谁能说一说?
师: 好,请最后那位男生。
师:他说:分数乘法的法则是——分数乘分数,用分子的积作为积的分子,分母的积作为积的分母;分数除法的法则是——先把除式的分子、分母颠倒位置,再按照乘法法则与被除式相乘。大家说这位男生说得完整吗?对不对?
师:(做倾听状) 同学们都说对。好,看来大家对分数乘除法则掌握得很扎实。
师: 接下来,请大家按照前后桌为一组进行分组,试着类比刚才的分数乘除法则,总结分式的乘除法则。讨论完后,请举手示意。
师:(稍作停顿) 好,老师看到各小组很快举起了手。我们再等一等还没想好的同学。
师: 大家都讨论完了。有请最先举手的前排这个小组派代表说一说你们的结论。
师:他们说:分式乘法法则——两个分式相乘,用分子的积作为积的分子,分母的积作为积的分母;分式除法法则——先把除式的分子、分母颠倒位置,再与被除式相乘。
师: 其他小组有需要补充的吗?(停顿)大家都摇头,那就是认可这个小组的回答了。
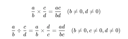
师: 的确,刚才这位同学说得非常正确。那么,大家能用数学式子来表示这些法则吗?用字母a、b、c、d等表示分式的分子和分母,在自己的练习本上试着写一写。
师:(稍作停顿) 刚才老师到下面看了看大家写的。大部分同学写得很好,但有的同学把除法写错了。在这里,老师再次强调一下:除法也是转化为乘法来运算的,但是必须先把除式的分子、分母颠倒位置,其他不变,再与被除式相乘。
师: 也就是:

师: 请大家把这两个公式记在课本上。
三、巩固练习,深化理解
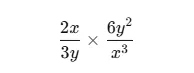
师: 接下来,请大家运用刚才总结的分式乘除法则,计算下面这道题:

师: 请学习委员和前面这位男生到黑板上板演,其他同学在练习本上计算。
师:(稍作停顿,巡视) 好,大家都做完了。我们先来看一下黑板上两位同学做的对不对。
师:有同学说第一位同学没有化简,最后结果应该是

第二位同学做对了。大家觉得说得有道理吗?
师:(做倾听状) 同学们都表示赞同。非常好!这也是老师特别想强调的一点:运用上述法则计算后,一定要把结果化简到最简。另外,像第二位同学那样,如果分式前面有负号,计算时千万不要漏掉。不过,这两位同学板书都很清楚,值得肯定。
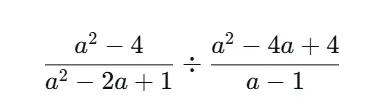
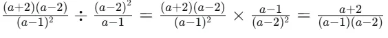
师: 我们再来看一个例子:

师: 这道题比刚才的复杂一些,因为分子、分母都是多项式。请大家先独立思考,然后同桌之间互相交流,做出来后请同学回答。
师:(稍作停顿) 好,哪位同学来说一说自己的计算过程和结果?
师: 第一位同学说:直接按照除法法则,把除式分子分母颠倒后相乘,得到

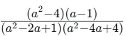
第二位同学说:应该先分解因式再约分,原式=

师: 大家觉得哪位同学说得更好呢?
师:(做倾听状) 同学们都说第二位同学更好。第一位同学法则运用正确,但没有化简;而第二位同学提到:当分子、分母为多项式时,如果可以分解因式,应该先分解因式,以便于约分。这个提醒非常重要!以后大家计算时一定要注意。
四、课堂小结
师: 通过刚才的练习,大家是不是对分式的乘除法不再陌生了?那我们来回顾一下这节课,你学到了哪些知识?
师:好,请这位同学说一说。
师: 他说学到了分式的乘除法法则。这是本节课的主要内容。
师: 那具体计算时需要注意哪些地方呢?谁来补充?
师: 这位同学说:最后结果要化简到最简;当分子、分母是多项式且可以分解因式时,要先分解因式再约分。
师: 这两位同学的回答加在一起,就是本节课的所有内容了。大家哪一块还不熟悉,课下可以问老师或者问同学。
五、布置作业
师: 今天的作业是:课本练习题第2题、第3题。另外,思考题是:

下节课我来提问。
师: 这节课就上到这里,同学们,下课!
结束语:我的试讲到此结束,谢谢各位评委老师的聆听。请问我可以擦掉我的板书吗?
超优惠面试资料,添加老师微信!
微信扫描添加老师好友呢
