25年厦门科技科创班数学试卷分析

四季读书网 5 0
25年厦门科技科创班数学试卷分析
25年厦门科技科创班数学试卷分析 第1张
25年厦门科技科创班数学试卷分析 第2张

以上为发哥微信,扫一扫添加!!

     最近初三娃都在关注厦门科技中学的科技创新班的提前招生,前面发了24年的试卷,总体难度不小,但是题量和时间在25年都有变化;24年分析,前面发过了,可以做一做也感受下强度;我们今天重点来分析下25年;
厦门科技中学初升高科技创新班数学分析
具体变化:
24年:60分钟,没有选择,12填空72分,2解答28分;满分100分;
25年:100分钟,6选择18分,6填空24分,7解答题78分;满分120分;
先说关键的总结与提醒:一个大大的提示,最终可能没有几个学生可以写完,那就意味着抢分才是关键,而这份试卷的相对简单的题目是放在解答题部分,尤其是前5题,总体难度都不算大,而这里就有52分了;
100分钟,这个计算量和思考量,基本没几个可以处理完成的,所以聪明的做法肯定还是把选择填空解答的一半都稳定的拿下分数,剩下时间再选自己有感觉的处理,不然时间和分数就教你做人了;
具体题目与解法分析:
25年厦门科技科创班数学试卷分析 第3张
【二次根式应用】根式符号判断,抓住根号内一定是非负的,就可以找到a≤1,所以a-1为负,所以整体为负,所以只剩下AB,然后根号里非负,只剩下A了;
25年厦门科技科创班数学试卷分析 第4张
【函数图像应用】简单图像的应用,要x<1,图象是下降的,那就意味着对称轴要大于等于1,计算即可;
25年厦门科技科创班数学试卷分析 第5张
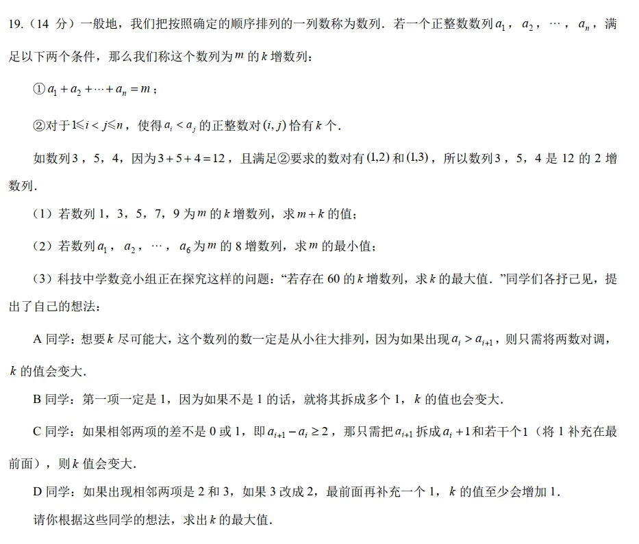
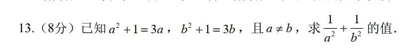
【综合计算】代数综合计算,左边通分,并约分,然后交叉乘后进行因式分解或者a、b、c的关系;
25年厦门科技科创班数学试卷分析 第6张
【新定义几何综合】三个圆两两相切,那就都是圆都是外切圆,然后要有一个圆与三个圆都相切,那就两种情况,要嘛很大的圆,把他们都包起来,要嘛就是小的圆,放三个圆中间,直接连接圆心,获取线段关系;
25年厦门科技科创班数学试卷分析 第7张
【弧长计算】旋转101次,那就要先找到转动的情况,图非常“陷阱”的只放了三种,而其实第四次,A点其实是没动的,也就是A点旋转过程,是以四次做为一个循环的,抓住这个进行计算就解决了;
25年厦门科技科创班数学试卷分析 第8张
【新定义加最短路径】很有意思的一道题,这个背景在八下勾股是用得比较多的,所以不算陌生,但是有三个距离就很有意思,所以需要把一个点(x,y)去作x轴和y轴的垂线,然后才可以得到两个距离,那其他到原点的距离就可以转换为矩形的对角线,再利用最短路径的对称来解决问题;
25年厦门科技科创班数学试卷分析 第9张
【综合】快乐的三道题,计算+树形图/列表法+内心导角;
25年厦门科技科创班数学试卷分析 第10张
【设元勾股数计算】设元处理边长之间关系,然后利用勾股就可以搞定三边关系;接着就是整数的穷举;
25年厦门科技科创班数学试卷分析 第11张
【函数图像综合应用】一个自主招生的老题了,主要就是左边的两个绝对值会搞晕很多学生,但是其实很简单,就是分类讨论,只是要分为几种情况来讨论,分层讨论即可画出这个函数图像,然后右边就很简单了,过(-3,0)的直线,然后需要与左边的图像有三个交点,画图搞定
25年厦门科技科创班数学试卷分析 第12张
【几何综合导边】可能还有更好的解法,然后发哥就是简单粗暴,直接连接CE,然后暴力求边,把所有边都求出来,最后要求面积,就割补法,过E作了垂直,利用梯形+三角形再减去ACB的面积即可;
25年厦门科技科创班数学试卷分析 第13张
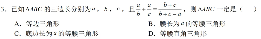
【方程思想与韦达定理的应用】经典考法,从两个方程,抽离出a和b为方程的两个根,利用韦达定理进行计算即可;
25年厦门科技科创班数学试卷分析 第14张
【几何综合】菱形的性质,要求面积最大,即边最大即可,直接根据变化的F点,找到菱形边长最大值;
25年厦门科技科创班数学试卷分析 第15张
【函数实际应用】经典函数实际应用,最值处理;
25年厦门科技科创班数学试卷分析 第16张
【综合计算】快乐的送分题;新定义;
25年厦门科技科创班数学试卷分析 第17张
【几何综合】几何导边,相似导边;
25年厦门科技科创班数学试卷分析 第18张
【函数综合】高中的焦点问题的变化题型,这个在初中也是偶有出现,但是总体就是设元,然后利用一线三等角进行获取消参;
25年厦门科技科创班数学试卷分析 第19张
【综合计算】新定义与理解;
更多内容可以关注以下公众号

作者介绍:发哥---

一个喜欢研究如何程序化解题的数学老师

一个为了帮助更多小孩可以从数学的学习中获取成就感的数学老师

一个为了帮助小孩获取中考高分的数学老师

一个学生的私人成长导师

我可以给你答案

但是我不能代替你思考

抱歉,评论功能暂时关闭!