











2026浙江专升本
三科真题及答案
— 宏图专升本 —
专
升
本

2026年浙江省专升本考试已于4月18日顺利落幕。宏小图整理、核对了本次专升本考试的真题、参考答案以及联合各科老师做了独家考情分析,助力考生把握命题趋势!本次考试共有5.76万名考生报名,在全省53个考点、1900余考场参加考试,考试全程组织规范、平稳有序。评卷工作即将展开,预计5月中旬发布成绩。

01
数学真题及答案

01
数学考情分析
基础题送分,压轴题“算吐了”
这是今年争议最大的一科。虽然知识点常规,但计算强度成为了区分度关键。

考后点评:整卷没有偏题怪题,但积分题含量高且压轴题计算量大。很多考生反馈“题都会,但时间不够算不完”,这直接导致中等分数段可能会非常拥挤。
02
真题(回忆版)



03
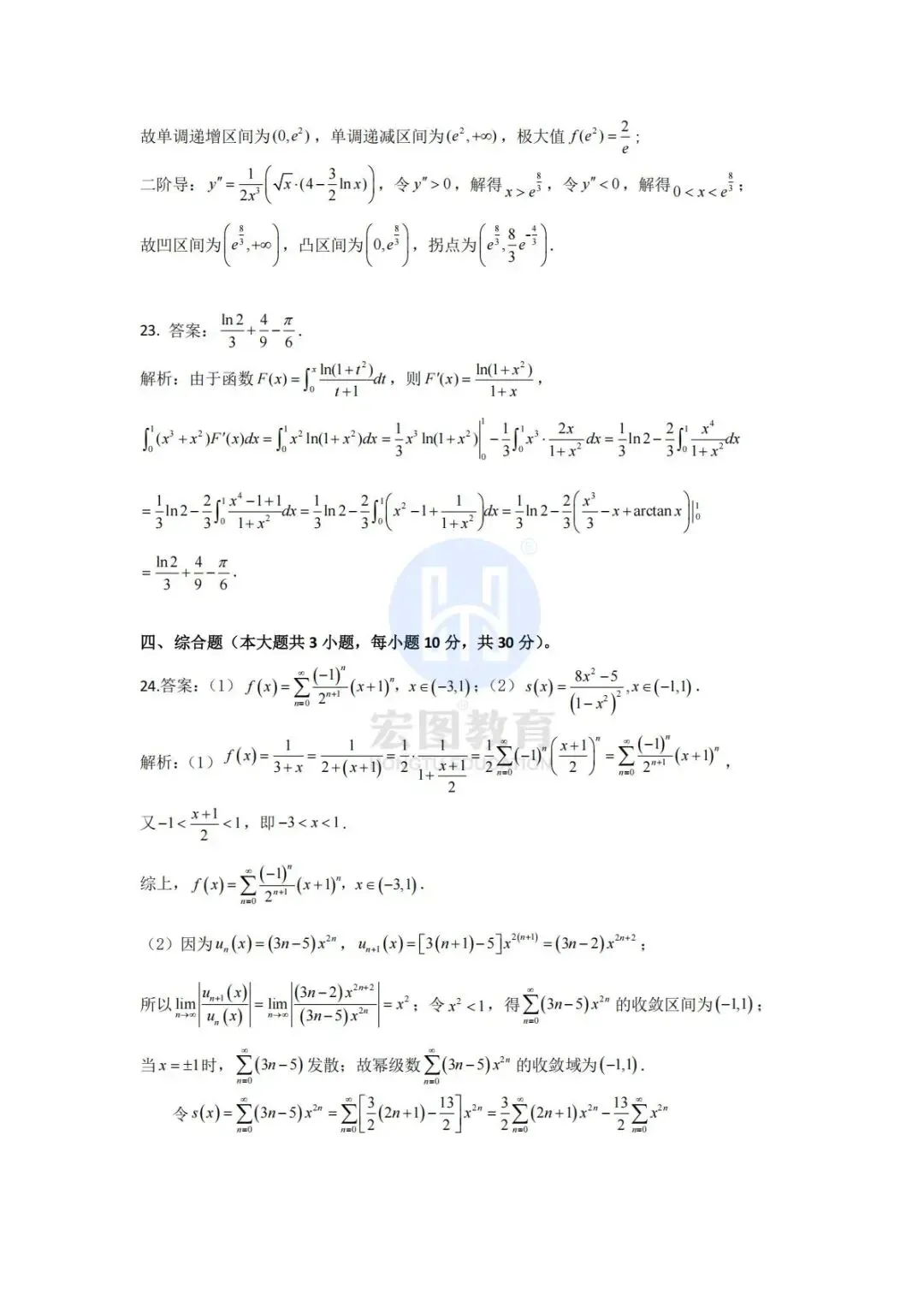
答案(宏图整理)







02
语文真题及答案

01
语文考情分析
中规中矩,AI作文“撞枪口”
客观题难度与往年持平,阅读题较往年难度提升,作文话题紧跟时代趋势是最大亮点。

考后点评:语文是今年最“稳”的一科,没有出现大的意外。公文写作考“表彰性决定”也是常规操作,只要格式规范,拉分差距不大。
02
真题(回忆版)










03
答案(宏图整理)






03
英语真题及答案

01
英语考情分析
近五年“最简单”,基础为王
今年英语为“近五年难度最低”,是典型的“细节决定成败”卷。

考后点评:英语卷的难度在于“细心”。题目简单意味着容错率极低,粗心大意丢分将是最大的遗憾。
02
真题(回忆版)










03
答案(宏图整理)



分数线与录取展望

根据考情和报考数据(报考人数约5.7万,较2025年的的6.8万有所回落),今年的录取形势判断如下:
理工/经管类:数学虽然计算量大,但步骤分多,高分段(220+)竞争依然激烈,但中等分数段可能因计算失误而出现“扁平化”分布。
文史/教育类:语文英语难度低,省控线预计会保持高位,依然是“卷王”赛道。
公办 vs 民办:重点公办院校缩招趋势不变,普通公办、职业本科、独立扩招,将成为多数考生的主要去向。


考后学员反馈










后续安排与温馨提示

成绩公布:预计5月中上旬,请考生密切关注浙江省教育考试院官方通知。届时宏小图也会第一时间通知大家。
志愿录取:宏小图将持续为大家带来最新资讯及录取动态。


一审:柒柒
二审:小图
三审:CC姐
宏图教育(金沙湖总部):杭州市望钱塘印中心4幢3层
宏图教育(宝龙校区):杭州市下沙宝龙广场30栋第3层