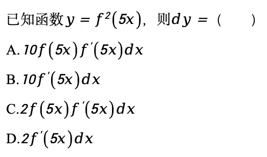
今日真题
【单选】

【真题来源】
2024年山东省普通高等教育专升本统一考试大学高等数学三第5题
答
案
答案
点击下方空白处获得答案
A
解
析

🚀 【独家福利】单题视频解析功能上线啦!!
📚 历年真题,一题一解
👨🏫 名师亲授,直击考点
点击下方视频查看正确答案及名师解析点拨
已关注
关注
重播 分享 赞
📢【单题视频解析功能限时免费】!!

更多升本资讯干货请关注👇
😎芝麻专升本为你网罗最新招考公告、干货资讯,考试信息尽在掌握!
文章来源:
四季读书网
版权声明:本文内容由互联网用户自发贡献,该文观点仅代表作者本人。本站仅提供信息存储空间服务,不拥有所有权,不承担相关法律责任。如发现本站有涉嫌抄袭侵权/违法违规的内容, 请发送邮件至23467321@qq.com举报,一经查实,本站将立刻删除;如已特别标注为本站原创文章的,转载时请以链接形式注明文章出处,谢谢!