作者寄语:解三角形--高一数学期中真题汇编,7天有效领取,手慢无!!!
如需领取:请点击文末公众号名片,并在公众号消息页面回复关键词:0419
发布日7天内免费领取,内附学生版,可下载练习!
































































注:资料源于网络,仅供学生学习使用,如有侵权,请联系删除!
文章来源:
四季读书网
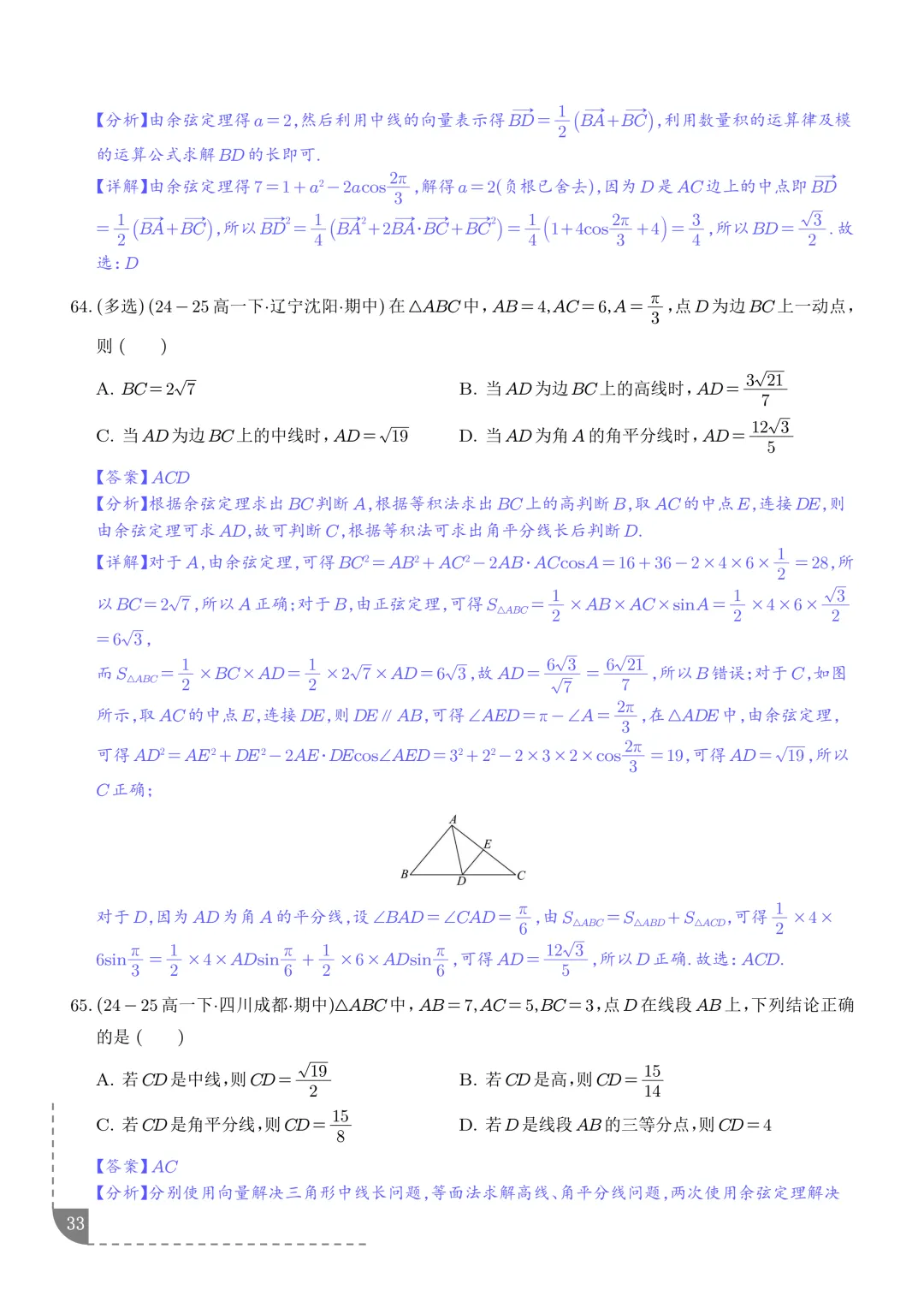
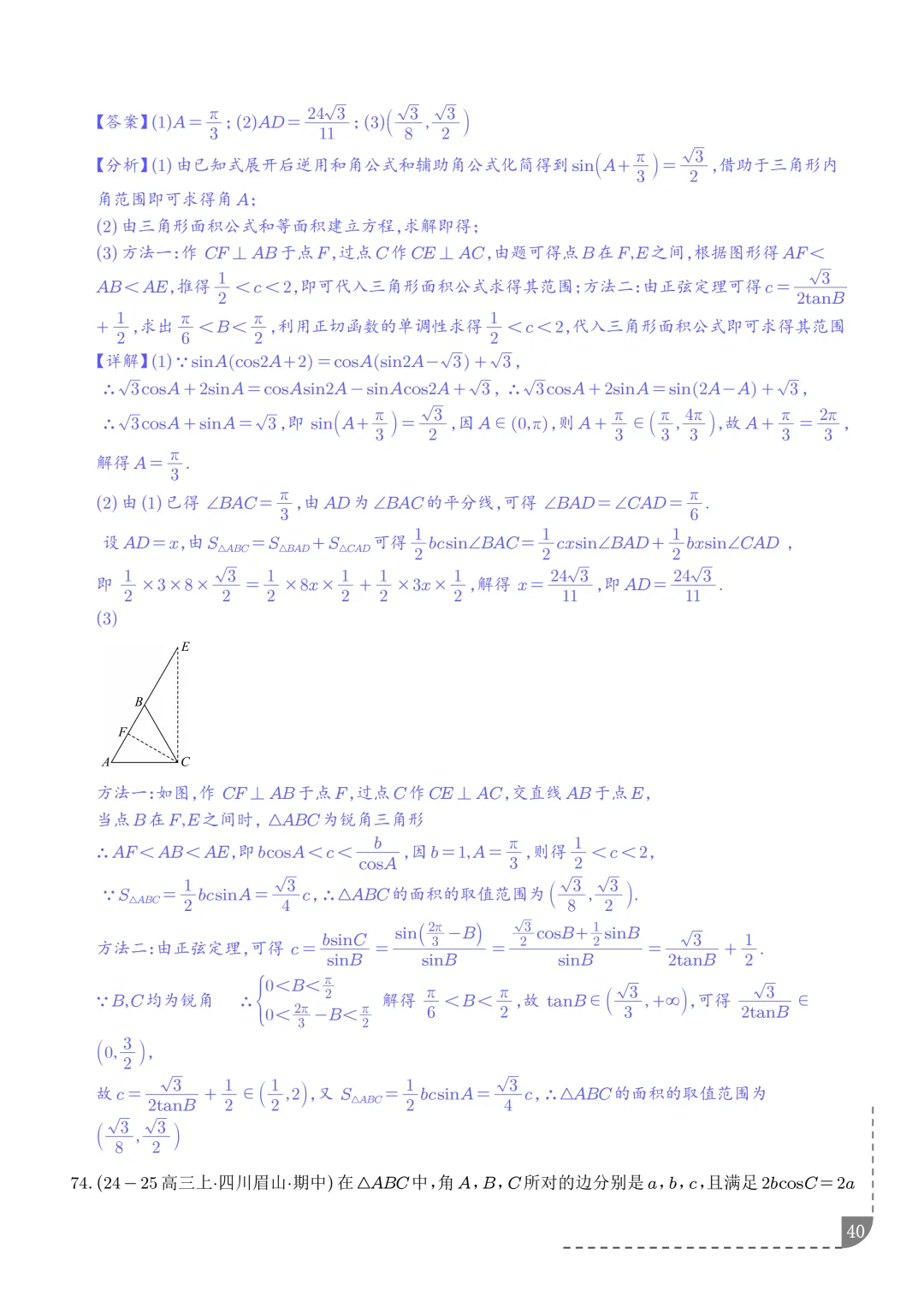
版权声明:本文内容由互联网用户自发贡献,该文观点仅代表作者本人。本站仅提供信息存储空间服务,不拥有所有权,不承担相关法律责任。如发现本站有涉嫌抄袭侵权/违法违规的内容, 请发送邮件至23467321@qq.com举报,一经查实,本站将立刻删除;如已特别标注为本站原创文章的,转载时请以链接形式注明文章出处,谢谢!